请点击上方蓝色字体“邹生书数学”,订阅本微信公众号;请点击右上角的“…”,发送给朋友或分享到朋友圈。
公众号“邹生书数学”创建于2018年8月28日。
开号宗旨:为热爱学习和研究的高中数学教师和教研员搭建学习交流平台,提升教学能力,促进专业发展。本公众号致力传播数学文化,发表教研成果,交流教学经验,探讨数学问题,展示解题方法,分享教学资源,为服务高中教学作贡献。
邹生书,男,1962年12月出生,本科学历,理学士学位,中学数学高级教师,黄石市高中数学骨干教师。主要从事高中数学教学、高中数学解题研究和探究性学习等。从2007年8月到2018年8月,在《数学通讯》《数学通报》《数学教学》《中学数学》《中学数学教学》等,二十多种学术期刊上发表解题和探究性学习文章300余篇。
公众号“邹生书数学”诚请高中数学教师、教研员和热爱数学的朋友不吝赐稿。来稿请注明真实姓名、工作单位和联系方式,一般只接受word文档格式的电子稿件,文稿请认真审查,防止错漏,确保无误,文责自负。
本公众号对优秀作者和名师一般会附上“作者简介”,以让广大读者更好地了解作者的研究成果和方向,以便进一步学习作者的相关数学思想或解题方法。
投稿邮箱:zoushengshu@163.com;
商务联系:13297228197。
枯木逢春又再发 陈题改编创意新
——兼谈多项选择题的解题技巧和命题建议
湖北省阳新县高级中学 邹生书
本文先对一道由陈题改编而来的多项选择的解法进行探讨,再谈谈数学多项选择题的解题技巧和命题建议,希望对新高考的高中师生有所帮助。
1.对一道陈题改编而来的多项选择题的解法探讨
陈题与改编新题相同的是题设,不同的是:陈题是单一的填空题,而新题是选项各异的多项选择题。这实际上是将一个问题变成了四个判断题,思维量和运算量及难度成倍成倍增长。改编后的新题解法如下:
分析:对于四个选项的正假判断,我们采取先易后的解题原则。跟着感觉走,直觉告诉我们选项A,C可能容易判断些,最难搞定的可能是B,其次是D.
评注:对于这道有四个选项的多项选择题来说,做到这里就可以了。因为有个四选项的多选题正确选项的个数至少为两个,现在已经判断了选项A,C是错误的,所以选项B,D一定是正确的。故正确的选项是B,D.
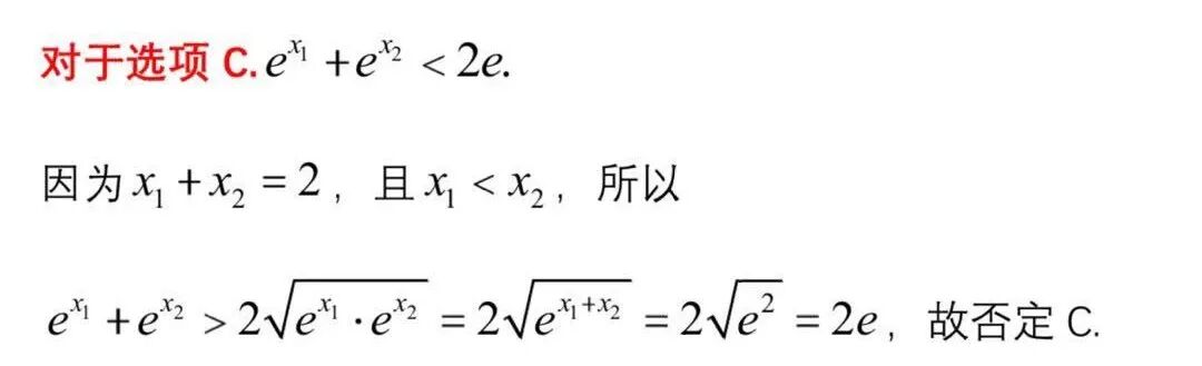
下面我们来直接证明选项B,D是正确的。
点评:对于选项B,D来说,通过尝试知道,若用x1∈(0,1)来求解是没有用的,这是因为取值范围大了,因此还需要将其范围再缩小一些,这可以用二分法和零点存在性定理来解决,得到x1∈(0,0.5),这样选项B,D才能判断其真假,并且选项A还可以有如下解法。
点评:我们在判断四个选项的真假时除了选项C外,都用以x1为自变量的函数来处理,也可用以x2为自变量的函数来解决,效果是一样的。这里要特别注意的是自变量的取值范围的精度对能否顺利解决问题至关重要,对选项B,D的正确性判断就是很好的例证。
二、多项选择题的解题技巧和命题建议
近几年全国高考三份试卷数学选择题共12道小题,每小题有4个选项有且只有一个选项正确,分值每小题5分。2020年新高考的山东卷作了调整,将12道选择题改为前面8道单选题后面4道为多选题,多选题部分选对得3分,错选得零分,全部选对得5分。2021年参加新高考的八省联考数学试卷又将多选题的分值作了调整尝试,降低了部分选对的分值,部分选对只得2分,普遍认为这个分值调整较为合理。
根据多项选择题的定义知道,正确选项不只一个,至少两个,可以四个选项都正确。编者认为正确选项个数设置为两个和三个较为合理,这样每个多选题得分有三个档次:5分,2分和0分。若正确选项设为四个,则得分只有5分和2分两个档次,并且考生只要选填部分项都可以得2分,拉不开分数距离,分不出能力水平思维层次,建议不要设置四项都正确的多选题。在一些大联考中目前还没有见到全部正确的多选题,但在一些测试卷中时有发生,偶然有一道还可以理解,若在一份试卷中出多了就不太好了。编者曾经历过四个多选题竟然有两个题目四个选项都正确的。
最后谈一下多项选择题的解法小技巧。
技巧1:如果通过推理论证等方法确定其中的两个选项是错误的,那么另外两个选项必定是正确的。
技巧2:如果通过推理论证等方法确定其中的三个选项是正确的,那么另外一个选项必定是错误的(在不设置四个选项全对的情况下)。
下面我们来看几个例子。
例1:2021年广东四校联考理科第10题
解析:本题选项C的正确性判断难度较大,先用二元均值不等式链判断选项A,B,D的正误。
上面我们用二元均值不等式链判断了选项A,D错误,选项B正确。根据多选题的特点,正确选项至少有两项,故选项C必定正确。于是正确的选项是:B,C.
点评:本小题若正面证明选项C正确则难度较大,费时费力。
解析:易判断选项A,B正确,所以选项C,D必错,故正确的选项是B,D.
解析:经过判断A,B,C正确,所以选项D错误,故正确的选项是A,B,C.
下面给出一个四个选项都正确的例子
评注 :本题四个选项均正确,若由选项A,B,C正确,判断选项D错误,填写正确的选项为A,B,C的话,则只得到2分。
长按或扫描二维码关注本公众号!
投稿邮箱:zoushengshu@163.com;
商务联系:13297228197。