请点击上方蓝色字体“邹生书数学”,订阅本微信公众号;请点击右上角的“…”,发送给朋友或分享到朋友圈。
公众号“邹生书数学”创建于2018年8月28日。
开号宗旨:为热爱学习和研究的高中数学教师和教研员搭建学习交流平台,提升教学能力,促进专业发展。本公众号致力传播数学文化,发表教研成果,交流教学经验,探讨数学问题,展示解题方法,分享教学资源,为服务高中教学作贡献。
邹生书,男,1962年12月出生,本科学历,理学士学位,中学数学高级教师,黄石市高中数学骨干教师。主要从事高中数学教学、高中数学解题研究和探究性学习等。从2007年8月到2018年8月,在《数学通讯》《数学通报》《数学教学》《中学数学》《中学数学教学》等,二十多种学术期刊上发表解题和探究性学习文章300余篇。
公众号“邹生书数学”诚请高中数学教师、教研员和热爱数学的朋友不吝赐稿。来稿请注明真实姓名、工作单位和联系方式,一般只接受word文档格式的电子稿件,文稿请认真审查,防止错漏,确保无误,文责自负。
本公众号对优秀作者和名师一般会附上“作者简介”,以让广大读者更好地了解作者的研究成果和方向,以便进一步学习作者的相关数学思想或解题方法。
投稿邮箱:zoushengshu@163.com;
商务联系:13297228197。
优化解题过程,培养思维能力
以成都市2021届高三三诊文科第20题为例
四川省攀枝花市大河中学校 (617061) 隆建军
摘 要:高考解析几何试题的综合性都比较强,对考生的阅读分析能力、条件转化能力、复杂计算能力都要求较高,而考试失分的主要原因大致分为:条件不能转化、方法选择不当、思路不清楚、计算过程出错等典型问题,本文以成都市2021届高三三诊文科第20题为例,多角度对条件进行探究和转化,从而提升学生的计算能力、培养思维能力和知识的迁移能力.
关键词:解析几何;思维能力;解析几何
解析几何试题是高考和模拟考试的重要题型,重点考查学生在数形结合下的数学思想、逻辑思维能力,复杂运算求解能力,综合性强、思维难度大、条件灵活,从教学过程中主要呈现出学生条件不能转化、方法选择不当、思路不清楚、计算过程出错等典型问题,下面我们以成都市2021届高三三诊文科第20题为例谈谈如何优化解题过程,提升思维能力.
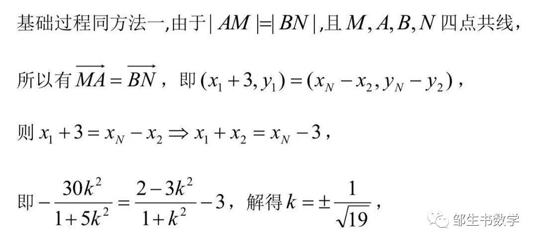
解答过程分析:学生在做题过程中画出了如下(图1和图2)两个图像,有些学生画出了如图1和土的两个图像,由于学生基础自身基础原因,得到图2的同学感觉到了困惑,所以在试卷讲评中做了如下解释:由于图2 中的AM和BN中均含有AB线段,所以有AN=BM,根据设点的任意性,所以MA=BN与AN=BM等价.
方法一:暴力解题,将条件MA=BN直接用距离公式转化.
点评:该方法简单粗暴,从思维上学生很容易接受,是题目条件的直接使用,从阅卷情况来看,用此方法的学生也比较多,但是基本上都没有完整算出结论,同时也反映出使用此方法的学生对题目条件的变通能力较弱,知识和方法的迁移能力较弱,而且运算能力差,所以要使用此方法求解该问题,需要学生具备过关的运算能力和化简技巧.
教学建议:对于用此方法解题的学生,我们在教学过程中应该还要加强这部分学生理解能力、知识的迁移能力等数学综合素养的培养和提高,让他们能进一步提高对数学条件的“翻译”的能力.
方法二:借助中点公式,简化运算
基础过程同方法一,如图3,
此处可以有两个处理思路.
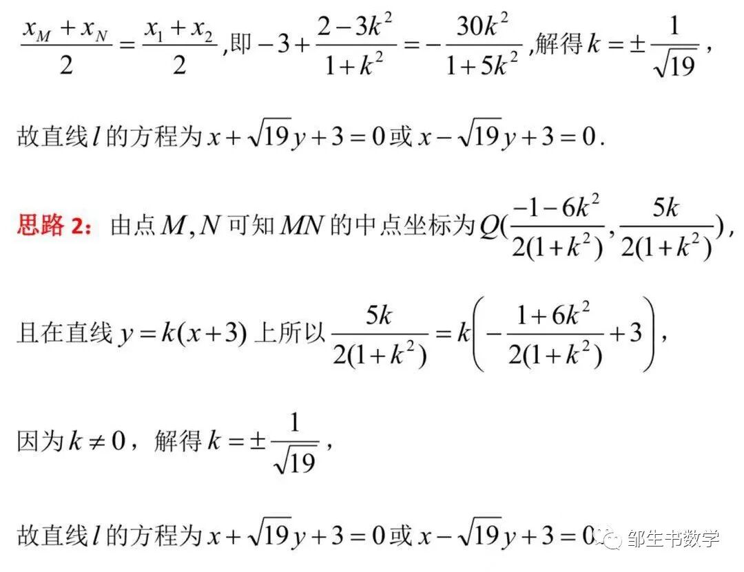
思路1:由对称性可知AB中点坐标也即MN中点坐标,所以有
点评:此方法运算较小,但是需要学生具备一定的阅读理解能力和知识迁移能力,借助点的对称性和中点公式来处理,非常有效和快速,对称性和中点问题是圆锥曲线中的常考知识点,此方法可以开拓学生视野,培养学生思维品质,提升学生解题能力.
教学建议:此方法的教学在于引导学生通过数形结合对线段数量关系的本质认识,从而转化为中点进行处理,在解题教学过程中要有意识地引导和培养学生,利用独特的思维去探索数学,去欣赏数学的美.
方法三:巧妙引入平面向量
点评:在圆锥曲线中引入向量,可以降低运算难度,把长度关系结合点的位置,转化为相等向量,该方法也充分体现了现行高考的命题思路之一,多思考少运算,可以体现思维的创新性和灵活性.
教学建议:由于平面向量融数和形于一体,具有几何形式和代数形式的双重身份,所以,引入向量研究圆锥曲线可以拓宽解题思路与方法,可以使思维简化,运算难度降低,所以在教学过程中我们应该多角度地进行思考使问题思路更加清晰,同时可以培养学生的分析问题能力、解决问题能力和思维迁移能力.
方法四:运用点差法,简化运算.
点评:点差法的使用可以降低运算难度,而且避免了联立方程组这一复杂传统运算方法的使用,这一方法的使用体现了“设而不求”,“整体代换”以及数形结合的思想.
教学建议:点差法的使用固然可以简化运算,但是由于此方法不具有等价性,因此在教学过程中我们应该要引导学生认识清楚,什么条件下才可以使用点差法,而且在解题过程中不能忽略根与系数关系和判别式的有效使用.
方法五:利用平面几何知识,解直角三角形,把直线效率等价于三角形一个内角的正切值.
点评:借助平面几何知识研究圆锥曲线,充分体现数形结合的思想,本方法在图形中引入中点,并产生了直角三角形,通过直角三角形角的正切值联系了直线的斜率,应该属于创新解法,让问题从“形”到“数”的转换.
教学建议:圆锥曲线和平面几何的关系源远流长,有密不可分的关系,在教学过程中我们要引导学生根据图形的几何特点充分挖掘几何元素的等量关系,平面几何中的常见结论也要让学生记得(比如:三角形重心、直角三角形斜边上的中线等于斜边一半等等).
【个人简介】隆建军(1981-),男,四川省安岳县人,高级教师,攀枝花市骨干教师,攀枝花市高中数学教学能手,攀枝花市仁和区优秀教师,主要从事高中数学教学与班级管理研究。
隆建军老师往期发表文章链接:
2.突破思维方法,探究一般结论——以2020年全国高考数学山东卷第22题为例
1.2020年全国高考数学理科I卷第21题的深层探究与教学启示
投稿邮箱:zoushengshu@163.com;
商务联系:13297228197。