请点击上方蓝色字体“邹生书数学”,订阅本微信公众号;请点击右上角的“…”,发送给朋友或分享到朋友圈。
公众号“邹生书数学”创建于2018年8月28日。
开号宗旨:为热爱学习和研究的高中数学教师和教研员搭建学习交流平台,提升教学能力,促进专业发展。本公众号致力传播数学文化,发表教研成果,交流教学经验,探讨数学问题,展示解题方法,分享教学资源,为服务高中教学作贡献。
邹生书,男,1962年12月出生,本科学历,理学士学位,中学数学高级教师,黄石市高中数学骨干教师。主要从事高中数学教学、高中数学解题研究和探究性学习等。从2007年8月到2018年8月,在《数学通讯》《数学通报》《数学教学》《中学数学》《中学数学教学》等,二十多种学术期刊上发表解题和探究性学习文章300余篇。
公众号“邹生书数学”诚请高中数学教师、教研员和热爱数学的朋友不吝赐稿。来稿请注明真实姓名、工作单位和联系方式,一般只接受word文档格式的电子稿件,文稿请认真审查,防止错漏,确保无误,文责自负。
本公众号对优秀作者和名师一般会附上“作者简介”,以让广大读者更好地了解作者的研究成果和方向,以便进一步学习作者的相关数学思想或解题方法。
投稿邮箱:zoushengshu@163.com;
商务联系:13297228197。
数列求和新题型
——指数式裂项求和,见过没有?
湖北省阳新县高级中学 邹生书
裂项相消法是数列求和的一种特殊方法。在求数列前n项和时,把通项分裂成两项之差,相加后消去中间的大部分项,只余下首尾的若干项,这种求数列和的方法就是裂项相消法。将各项分裂成两项之差然后相消求和的例子不胜枚举,而含有指数式的裂项求和,特别是含有(-1)^n的裂项求和更是罕见,在高考和模拟考中简直是凤毛麟角!一旦出现在考场上,由于少见或者根本没见过,老师没有讲过,平时没有做过,学生没有这种题型的解题经验和套路可寻,往往不知从何下手。下面编者收集整理了7个题目3种类型,并将其解法呈现给读者朋友,见过了学习了掌握了,以后再遇到此类问题就不至于大惊小怪了,而是见多不怪,从容应对了。
例3(武汉市2021届高中毕业生五月供题第18题)
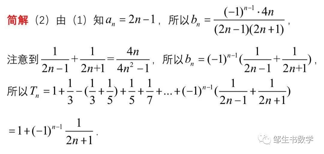
例4(2014年山东卷理科第19题)
(2)文[1]和《2014年全国各省市高考试题汇编》数学(理科)的解法相同,解答如下:
评注:先求项数n为偶数时前n项的和,再以此为基础求出n为奇数时前n项的和,最后整合,这是解决通项含有因子(-1)n的数列前n项的和的常用方法,但对于本题而言,其实并不需分类讨论,可以裂项相消求和而一步到位,解法如下:
无独有偶,2015年武汉市高中毕业生5月模拟考试理科第19题的第2问,也是这样的一道数列求和题,参考答案给出解答和文[1]如出一辙,也是用奇偶分析法,先分类后整合,解法冗长,下面给出原题,并用裂项相消法简解第2问。
例6(2021高考模拟演练数学(一)衡中同卷之押题卷第18题)
点评:本题第2问数列求和实际上采用的是分组求和,其前半部分是一个指数列式裂项求和,后半部分当作是通项为(-1)n•n的求和问题,这里是通过奇偶分析分类讨论的方法进行求和的,当n为偶数时,正好配对成n/2组,每组的和均为1,故其和为n/2.当n为奇数时,有两种方法分组求和,一种方法是保留首项,另一种方法是保留最后一项。另一方面,通项为(-1)n•n的数列求和也可以当作是我们熟悉的差比数列求和,可以用错位相减法,但不及奇偶分析分组求和好,读者不妨用错位相减做来试试,比较比较。
小结:从上述试题及其解法可知,指数式裂项求和问题,题型虽新颖,但难度不大,在解答题中位置靠前。解法与常见的裂项求和方法迥异,规律性不明显有的裂成两项之差,而有的裂成两项之和,解法因题而异,解题时有时需要进行尝试来确定是裂成和还是裂成差。一旦学习便很快掌握。另外,特别要注意系数配平,保证恒等变形。裂项是手段,相消是关键,求和是目的。
参考文献:
[1]任宪伟,张鹏。裂项求和一览[J],数理天地(高中版2016(4)
投稿邮箱:zoushengshu@163.com;
商务联系:13297228197.