请点击上方蓝色字体“邹生书数学”,订阅本微信公众号;请点击右上角的“…”,发送给朋友或分享到朋友圈。
公众号“邹生书数学”创建于2018年8月28日。
开号宗旨:为热爱学习和研究的高中数学教师和教研员搭建学习交流平台,提升教学能力,促进专业发展。本公众号致力传播数学文化,发表教研成果,交流教学经验,探讨数学问题,展示解题方法,分享教学资源,为服务高中教学作贡献。
邹生书,男,1962年12月出生,本科学历,理学士学位,中学数学高级教师,黄石市高中数学骨干教师。主要从事高中数学教学、高中数学解题研究和探究性学习等。从2007年8月到2018年8月,在《数学通讯》《数学通报》《数学教学》《中学数学》《中学数学教学》等,二十多种学术期刊上发表解题和探究性学习文章300余篇。
公众号“邹生书数学”诚请高中数学教师、教研员和热爱数学的朋友不吝赐稿。来稿请注明真实姓名、工作单位和联系方式,一般只接受word文档格式的电子稿件,文稿请认真审查,防止错漏,确保无误,文责自负。
本公众号对优秀作者和名师一般会附上“作者简介”,以让广大读者更好地了解作者的研究成果和方向,以便进一步学习作者的相关数学思想或解题方法。
投稿邮箱:zoushengshu@163.com;
商务联系:13297228197。
审视2021高考数学全国乙卷
第19题数列题
山西省朔州市朔城区一中 柴淑兰
西南大学在读大四学生 王丽敏
在2021年高考数学卷全国乙卷的考题中,我最为欣赏的是第19题数列题,它在考察数列的知识中渗透了数学的研究方法,研究思想。
从中看出该题考查了数学中的联想、类比、方程等思想方法,常规题考查,但形式稍作改变,给考生施压,反套路,逼迫考生应用高中所学知识方法解决新问题,考查学生的应变能力、处理新问题的能力、重视高中教学在数学研究的思路方法的传授效果!在类比中体现了反思维出题的与众不同的考察方式,不愧是一道高考题,一道好题。高考题是教、学、考的指挥棒,高考题引到哪里教学指到哪里,打击偏离课本,做大量的偏难怪的题目,累坏了老师,苦害了学生,盲目搞题海战术却忘了本!这个题明显给其一个有力的回击,让很多考生一个下马威,慌不着地,晕头转向,不敢动笔。如果有心里准备,高考题不会都是熟题,冷静沉着面对,按照你从高中课本中学来的处理问题的思路和思想方法去一步一步碾压下去,那都是顺理成章的事情,何难之有?!
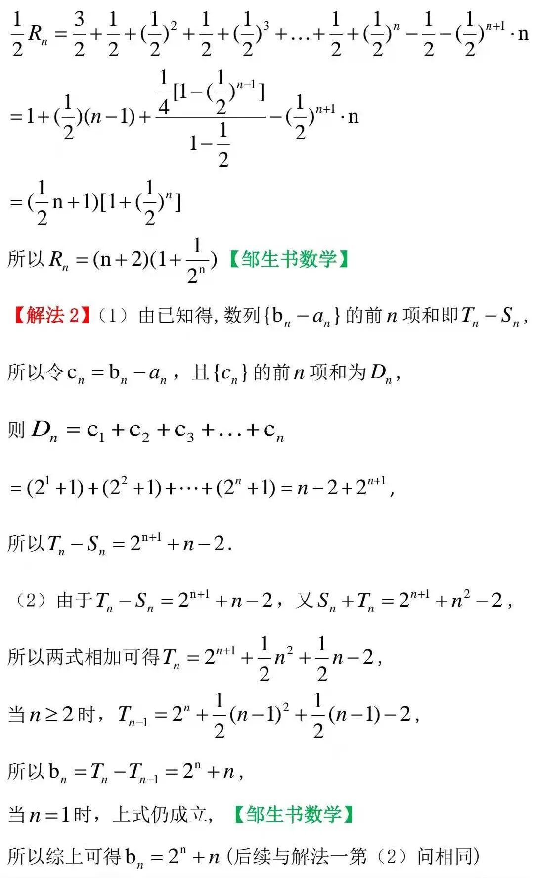
本题没有求和也没有求积,只是给了一个“和”与一个“积”的定义,把瞬时概念领会好利用好,去联想、类比、模仿,第一问就可以解决。第二问,利用第一问结论可写出数列{bn}的通项公式,回头解方程得Sn,最后耐心细致求an。
最近做了一个模拟题如下:
看到第二种解法,有的同学惊叹这种观察认识的敏锐性,其实也就是一个定义!如果两问结合起来比较看,最终两种思路下的二种解法到底哪个好,评价各不同。
做完高考题,我又想起2013新课标一卷理科的高考题:
该题表面看是一个数列题,可能需要解三角形?好多看到n个三角形三边给出的这么错综复杂的关系就紧张,感觉无从下手,干脆放弃,或者不分青红皂白的一通变形,结果不得要领,满脑茫然。
当时我拿到这个高考题看到这个题后,首先注意到条件an+1=an这个不变的常数列!这不说明BnCn这条边“我自岿然不动”吗?,也就是说△ANBnCn有一边BnCn不变,就把它记作BC,其长为常数a1,变化的不就只有点An了吗?!有两个定点Bn,Cn不动,第三个点An在动,它的轨迹是什么,面积的变化不就是看它距离边BC的远近在怎么变化吗?
那会不会与椭圆双曲线有关呢?第一反应就是联想到椭圆、双曲线的定义,马上去考察an+bn,an-bn会不会是定值?
着手将两个已知条件相加一探究竟,很快得an+bn为定值,顶点An果然在一个椭圆上运动!(过程不写了,里面还挺有意思,线性关系没有产生等比,得到常数列了,才真正证实了我的大胆猜想),再进一步探究差an-bn怎么样变化,结果是为一个等比数列,公比是-1/2,它尽管不是常数,但在正负相间变化着的同时,但|an+bn|在不断减少,自此找到了点An的变化规律:如果把B,C看成x轴上对称的两点,点An在以B、C为焦点的椭圆上一左一右跳跃着,不断像y轴靠近(向短轴端点靠近),从而说明|yAn|在不断增大!到此为止,我们探究的结果是,△ANBnCn的边BC不动,高在不断增大,面积Sn在不断增大,所以{Sn}为递减数列。
因为发现不动边,联想到椭圆双曲线定义,大胆猜想,小心求证,让我很快的把这个题拿下,而后来几年省里组织的多次的讨论会上,专家还对该题没有得到好的解法,认识没有到位。压根儿没有去与解析几何知识联系,可见高中概念多么重要,知识融会贯通多么重要,数学思想“联想”“联系”的观点多么重要!高中教学新课的传授多么重要,学科的核心素养在教学过程中的渗透多么重要!
所以,在今后的教学中,一定要把新课备好,把正课上好,在传授知识的同时,渗透数学研究的思想方法,如何把握定义,把新问题转化为可解决的问题,用已有知识解决新问题,提升学生的数学核心素养,提高学生独立思考、独立解决问题的能力。
柴淑兰,山西省朔州市朔城区一中数学教师,副高级职称,省学科带头人,区教学能手,学科名师、优秀班主任、师德标兵,从教29年,坚持工作在教学第一线,主持年级教学工作,兼任班主任,工作踏实,教学风格严谨细致,注重基础,追本溯源,管理班级粗中有细游刃有余,深得学生敬重和家长好评。
作者往期文章链接:
8.柴淑兰、王丽敏:一道训练“配凑法”使用基本不等式求最值的题目
3.柴淑兰——关于“高中数学必修1第一章”难点处理策略(“待续”完整版)
2.柴淑兰——关于“高中数学必修1第一章”难点处理策略(待续)
1.柴淑兰——关于“高中数学必修1第一章”难点处理策略(续完)
投稿邮箱:zoushengshu@163.com;
商务联系:13297228197。