请点击上方蓝色字体“邹生书数学”,订阅本微信公众号;请点击右上角的“…”,发送给朋友或分享到朋友圈。
公众号“邹生书数学”创建于2018年8月28日。
开号宗旨:为热爱学习和研究的高中数学教师和教研员搭建学习交流平台,提升教学能力,促进专业发展。本公众号致力传播数学文化,发表教研成果,交流教学经验,探讨数学问题,展示解题方法,分享教学资源,为服务高中教学作贡献。
邹生书,男,1962年12月出生,本科学历,理学士学位,中学数学高级教师,黄石市高中数学骨干教师。主要从事高中数学教学、高中数学解题研究和探究性学习等。从2007年8月到2018年8月,在《数学通讯》《数学通报》《数学教学》《中学数学》《中学数学教学》等,二十多种学术期刊上发表解题和探究性学习文章300余篇。
公众号“邹生书数学”诚请高中数学教师、教研员和热爱数学的朋友不吝赐稿。来稿请注明真实姓名、工作单位和联系方式,一般只接受word文档格式的电子稿件,文稿请认真审查,防止错漏,确保无误,文责自负。
投稿邮箱:zoushengshu@163.com;
商务联系:13297228197。
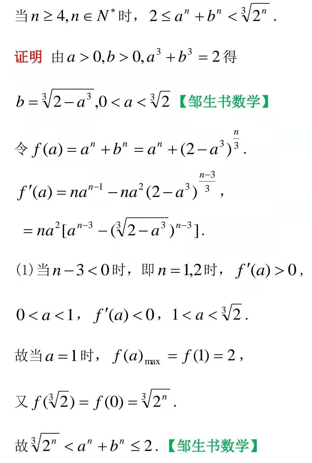
2017年高考全国Ⅱ卷文理第23题
证法的探究与推广
彭光焰
(湖北省广水市一中,432700)
高考结束没多久,很多学生谈起今年高考反映计算量偏大,一些考生甚至认为“题题有思路,路路都不通”,很多题目都有“似曾相似”的感觉,但在寻找解题思路或在计算论证过程中却遇到这样那样的困难. 考生大都对23题印象特别深刻,此题第(2)问在教辅资料中出现过,采用的证法都是反证法,但在高考复习时,对于利用反证法证明不等式重视不够的,这样以来,同学们对这道熟悉的题也感到困难,本文基于对该题的解题分析,提出笔者的一些看法.
题目(2017高考全国Ⅱ卷文理23题)
二、变式研究
在平时教学过程中,特别是在高三复习过程中,要整章整章地备课,要站在高中数学全局上备课,例如不等式证明涉及到高中数学几本书,我们在备课时应整合资源,这样才能让学生既看到树木又看到森林,让学生对数学产生浓厚的兴趣,才能事半功倍.我们对原题进行下列变式教学.
三、教学思考
对于同一个问题,不同的学生可能采用了不同的方法,最终可以得到相同的结果或者不同的结果,实质上反映了学生不同的思维心理活动过程,反映了学生在解决问题时思维程序上所存在的障碍. 对于本文所涉及的题目的解答探讨,虽为个案,但可见一斑. 不管是求解一道习题,或者是研究一个新问题,都应有一定的程序. 一般地,首先设想寻求何种知识或方法作为解决问题的基础,然后分析必须满足什么条件才能运用这些知识或方法,接下来进行解题:根据问题的条件和要得的结论,构思解题过程中情境和细节,利用相关的数学知识、数学思想方法和数学解题方法,进行解题操作. 在上述思维过程中,既需要抽象思维(如选择恰当的数学模型),也需要直观思维(如按事物间的关系构思各抽象的关系与过程的情景). 既存在逻辑的推理,也包含非逻辑的判断。上述这种把形象与抽象、逻辑与直觉结合起来的方法,是科学中所常用和特有的. 但在日常数学学习过程中,学生接受到的主要是以知识为主线的教学,以方法为主线的教学模式尝试相对较少,不少方法教育往往采取的是在知识学习过程中进行渗透的形式,但功效毕竟有限,数学科学思维方法的教育明显存在着缺失. 在教学中只有通过一定的手段把科学方法传授给学生,让其反复熟练使用,才能让学生掌握好这种方法. 通过对科学方法的不断了解、积累和熟练,就能使学生形成一种心理的定势,使学生能够以较快的速度去获取知识,了解知识的内容,并通过一定的网络结构深刻地领会和掌握知识,在碰到具体问题时能够迅速地抓住问题的要害,找出解决问题的途径.
四、注重习题教学的科学方法教育功能
高中数学教学不可避免地会进行习题训练. 习题课教学是高中数学课堂教学的重要课型,学生的解题能力主要在此过程中形成并提高,更应值得重视的是习题教学能够实现数学思维方法的教育功能. 诸如“不等式证明”的案例枚不胜举,这启示着我们对习题教学的教育功能的深度挖掘. 既要重视学生解决问题的结果或结论,更要重视学生得出结果或结论的过程,重视渗透方法教育和思维训练.
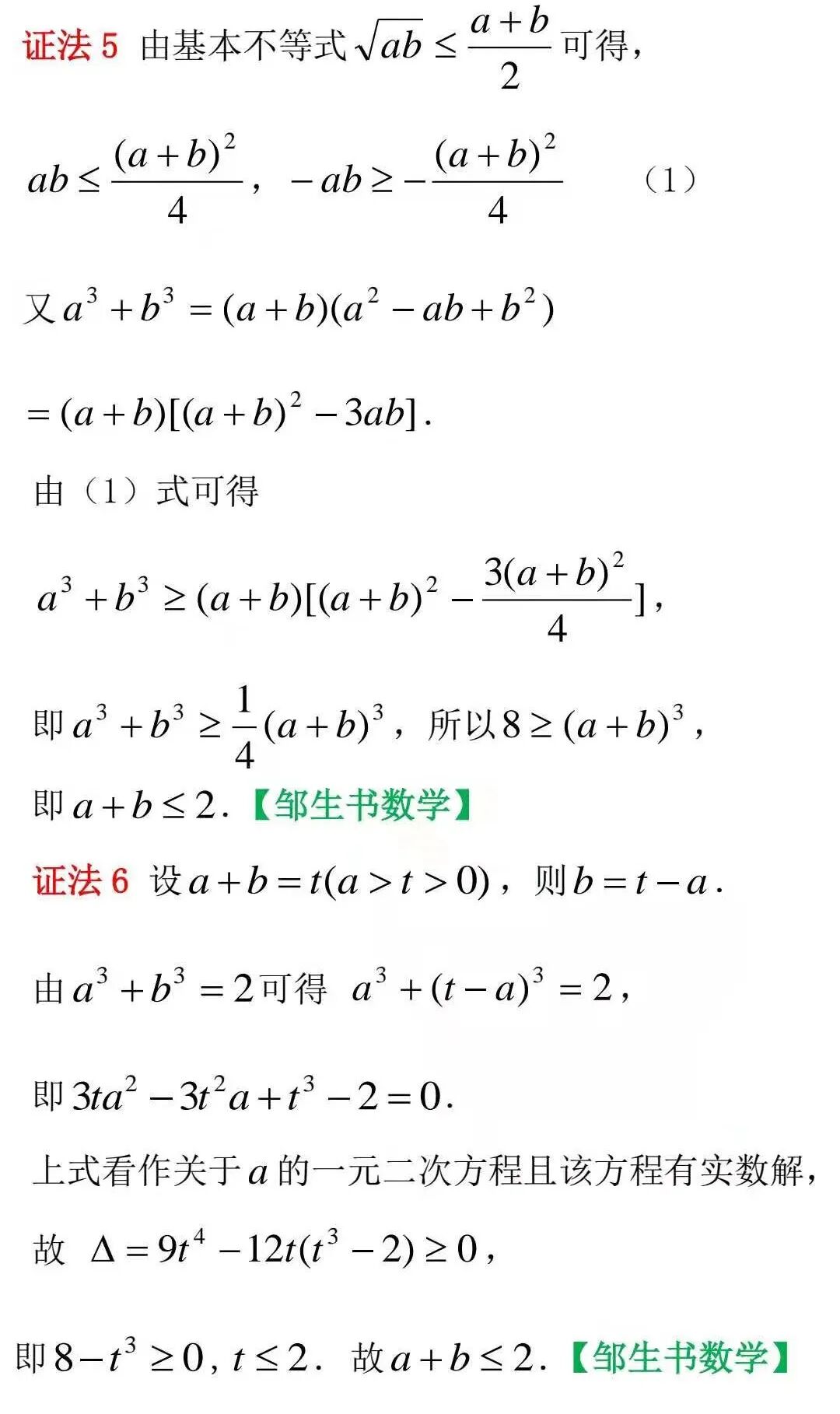
在训练过程中提倡利用多题一解、一题多解、一题多变等形式,以此进行思维发散,培养迁移能力. 通过多题一解的训练,可以加强学生知识横向联系与比较,教会学生如何去发现和总结规律,挖掘数学问题的本质所在,对培养学生思维的敏锐性、深刻性有极大的作用.通过一题多解培养学生思维的发散性和独创性,提高分析、综合能力.对于一个问题的多种解法,可以活化所学知识,激发求知欲,培养学生的发散性思维和创造性思维. 当例习题的解答可以采取多种方法时,方法有繁有简,繁与简是相对而言的. 繁解,涉及的知识方法等因素较多,解答流程大,但所包含的知识、技能、过程、方法、情感等方面的容量大. 简捷的求解,涉及的方法和知识等比较少,注重“巧取”,因为简捷的方法解题高效,不易出错.对方法不断进行优化选择的过程,实际正体现了思维的优越进程. 本文中的不等式证明问题所提及的八种证法,不失为该观点的一个论据. 当学生在面临新的数学情境和数学问题时,总是试图从脑海中原有的思维模式,即利用自己的思维定势去分析问题. 利用其积极的一面,培养学生正确地学会构建数学模型和寻求准确的解题方法. 同时,注意关注其消极的一面,过强的思维定势会产生“副作用”,学生容易不注意比较旧模型与新题目的差异,从而犯下审题错误. 通过一题多变训练可以有效防止学生形成僵化的思维模式,又可以防止思维定势带来的负面影响.利用多题一解、一题多解、一题多变等诸如此类形式的训练有利于培养学生的科学思维方法,形成良好的思考问题、分析问题和解决问题的思维习惯.
习题教学是教学形式中的重要一种,作为日常教学中较为常用的课型(尤其是高三年级),利用习题教学自身的特点能够有效地培养学生的科学方法,提升科学素养,习题教学的思维训练功能值得进一步挖掘.
参考文献:
[1]刘祖希.一道习题的研究性学习[J].数学通报,2004(10):22—24.
作者彭光焰往期文章链接
16.彭光焰——向量数量积不等式|a|∧2|b|∧2≥(a•b)∧2的解题探究
11.彭光焰:方法与过程并行 巧解与通解并重——也谈2013年重庆市高考理科考试说明样题第17题
10.彭光焰:巧用教材资源 命制高考试题 ——对2014年湖北省高考文科数学第17题的探究
8.彭光焰:从“路径依赖”到“另辟蹊径” ———从几道三角题的解法谈起
7.彭光焰:全面理解 多方转化——一道分式函数最值问题的多角度审视
【作者简介】彭光焰,男,1989年6月毕业于华中师范大学数学系,正高级教师,湖北省特级教师。湖北省广水市第一高级中学副校长。2018年荣获中学数学教育最高奖“苏步青数学教育奖”,湖北省优秀中学数学教师,湖北省骨干教师,湖北省教育科学研究学术带头人,享受湖北省人民政府和随州市人民政府津贴专家,随州市首批学科带头人,随州市首批十大名师。随州市教研室高中数学兼职教研员,随州市高中数学学科核心团队成员,湖北省高中数学名师工作室和随州市高中数学名师工作室主持人,曾被华中师范大学聘为华中师范大学免费师范生导师,曾被《语数外学习》编辑部聘为编委。随州市第一届、第二届政协委员,广水市第五届、第八届政协委员。自1988年4月28日至今,先后在《中国教育报》《数学通报》《中学数学教学参考》《数学通讯》《中学数学》等全国30余家省级以上报刊发表文章160余篇,其中在核心期刊发表论文32篇,主持各级课题5项,参编高中数学教学用书6册,获地级以上教科研成果奖38项。
长按或扫描二维码关注本公众号!
投稿邮箱:zoushengshu@163.com;
商务联系:13297228197。