请点击上方蓝色字体“邹生书数学”,订阅本微信公众号;请点击右上角的“…”,发送给朋友或分享到朋友圈。
公众号“邹生书数学”创建于2018年8月28日。
开号宗旨:为热爱学习和研究的高中数学教师和教研员搭建学习交流平台,提升教学能力,促进专业发展。本公众号致力传播数学文化,发表教研成果,交流教学经验,探讨数学问题,展示解题方法,分享教学资源,为服务高中教学作贡献。
邹生书,男,1962年12月出生,本科学历,理学士学位,中学数学高级教师,黄石市高中数学骨干教师。主要从事高中数学教学、高中数学解题研究和探究性学习等。从2007年8月到2018年8月,在《数学通讯》《数学通报》《数学教学》《中学数学》《中学数学教学》等,二十多种学术期刊上发表解题和探究性学习文章300余篇。
公众号“邹生书数学”诚请高中数学教师、教研员和热爱数学的朋友不吝赐稿。来稿请注明真实姓名、工作单位和联系方式,一般只接受word文档格式的电子稿件,文稿请认真审查,防止错漏,确保无误,文责自负。
本公众号对优秀作者和名师一般会附上“作者简介”,以让广大读者更好地了解作者的研究成果和方向,以便进一步学习作者的相关数学思想或解题方法。
投稿邮箱:zoushengshu@163.com;
商务联系:13297228197。
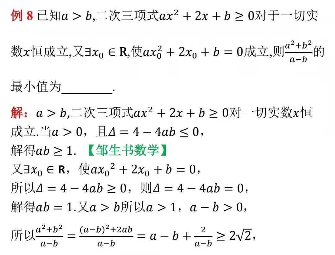
基本不等式的常见应用举例
湖北省安陆市涢东学校 胡云端
评注:本题用到了1的代换,同时注意到两个代数式结构一致,保证了两次的等号能够同时取得。
评注:通分后将分式上下除以分子,保证了分母中的结构可以用基本不等式。
评注:将分式分母换元,保证和为定值,再用1的代换求“倒数和”问题的最小值。
评注:当二元变量配凑定值不明显时,先消元换成一元,再去配凑。
评注:本题中把a+b看做整体,将等式代入不等式中后,通过整体换元再去解不等式。
评注:本题C项需要构造不同的函数,再用单调性和不等式性质推理;对于D,将等式代入不等式中后,通过整体换元再去解不等式。
评注:本题在相互消元的过程中,要观察所求式子与消元式子的结构,同时用到了1的代换。
评注:本题在分析条件式的过程中,先分解因式,再次对双变量换元,利用乘积为1的定值去求解。
评注:本题通过对条件的变形,需要观察出(a-1)(b-1)=1这一特征。
评注:本题第二问实际是差分代换,引入变量后通过两次放缩求解。
【作者简介】胡云端,男,理学学士,高中数学奥赛二级教练员。先后任教于湖北省某县一中、广东省重点高中、市直学校。
胡云端老师往期文章链接:
11.胡云端——再谈用 e^x≥x+1 和 x-1≥lnx 证明导数压轴题
10.胡云端——2021届福州三月高三质检数学卷导数压轴题的另解
邹生书数学
2021年第二季度
最受读者欢迎的56篇解题文章
56.金钟植——2021八省新高考数学命题分析及2022年高考备考建议
55.柴淑兰、王丽敏——审视2021高考数学全国乙卷第19题数列题
48.惠文旭 邹生书——构造多个函数解全国乙卷理科(12题)比较大小试题
45.张国川:圆锥曲线中非对称韦达式的处理策略——一道解析几何试题的多种解法
44.邹生书——2021新高考圆锥曲线压轴题的解法背景及一般性结论
41.邹生书——金太阳押题卷圆锥曲线压轴题 直线过定点这样解更精彩
37.隆建军:优化解题过程,培养思维能力——以成都市2021届高三三诊文科第20题为例
36.罗小明、刘 晖——2021年湖南师大附中5月联考22题解法探究
34.陈 勇:用思维导图解答压轴题 从通法到秒杀——2021八省联考导数试题解析
33.隆建军:突破思维方法,探究一般结论——以2020年全国高考数学山东卷第22题为例
32.隆建军——2020年全国高考数学理科I卷第21题的深层探究与教学启示
31.刘 晖、罗小明——2021年金太阳5月联考压轴题解法探究
29.张国川:百考不厌的椭圆第三定义——从泉州市2021届高三5月质检21题背景说起
27.张国川——基于直观想象下的解三角形问题 “圆”来如此精彩
21.“对数单身狗,指数找朋友”到底讲的是什么?最全面的解析在这里!!!
17.邓启龙——2020年全国Ⅰ卷理科数学第20题的探究与推广
13.邓启龙——构造函数法在与导数有关的抽象函数不等式问题中的应用
7.立体几何常见的二级结论及其应用——这些是你必须熟知的!!!
5.张国川——从一道解析几何试题谈基于问题背景视角下的解法探析
2.张国川——美丽动人的特征量e^2-1和参数t —— 一道月考解析几何试题解法思考
1.先必要后充分 反客为主 解不等式恒成立求参数取值范围问题
公众号邹生书数学
2020年9月至2020年12月最受读者欢迎的51篇数学解题文章
20191018—20200618最受读者欢迎的70篇文章链接
20191018—20200424最受读者欢迎的101篇文章链接
投稿邮箱:zoushengshu@163.com;
商务联系:13297228197。