请点击上方蓝色字体“邹生书数学”,订阅本微信公众号;请点击右上角的“…”,发送给朋友或分享到朋友圈。
公众号“邹生书数学”创建于2018年8月28日。
开号宗旨:为热爱学习和研究的高中数学教师和教研员搭建学习交流平台,提升教学能力,促进专业发展。本公众号致力传播数学文化,发表教研成果,交流教学经验,探讨数学问题,展示解题方法,分享教学资源,为服务高中教学作贡献。
邹生书,男,1962年12月出生,本科学历,理学士学位,中学数学高级教师,黄石市高中数学骨干教师。主要从事高中数学教学、高中数学解题研究和探究性学习等。从2007年8月到2018年8月,在《数学通讯》《数学通报》《数学教学》《中学数学》《中学数学教学》等,二十多种学术期刊上发表解题和探究性学习文章300余篇。
公众号“邹生书数学”诚请高中数学教师、教研员和热爱数学的朋友不吝赐稿。来稿请注明真实姓名、工作单位和联系方式,一般只接受word文档格式的电子稿件,文稿请认真审查,防止错漏,确保无误,文责自负。
本公众号对优秀作者和名师一般会附上“作者简介”,以让广大读者更好地了解作者的研究成果和方向,以便进一步学习作者的相关数学思想或解题方法。
投稿邮箱:zoushengshu@163.com;
商务联系:13297228197。
2020年高考全国一卷第21题
的多种解法探究
山西省朔州市朔城区一中 柴淑兰
西南大学在读大四学生 王丽敏
2020年高考全国一卷第21题第二问:
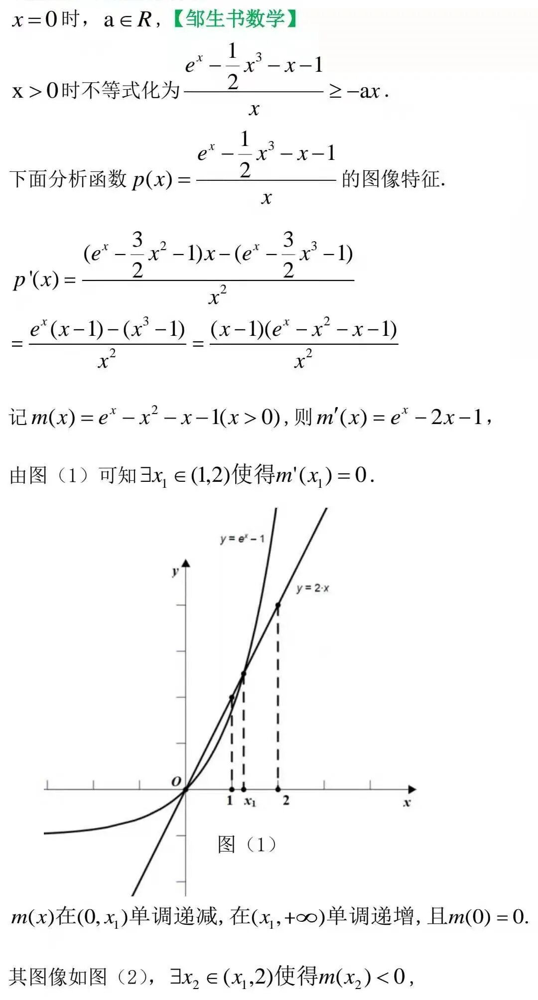
【解法三】数形结合法
求字母取值范围是高中数学的难点,特别是恒成立、能成立问题,一般是构造函数转化为讨论探究函数的最值加以限制;也可以参变分离避免讨论,但这样往往需要研究分式函数,为了分析端点趋势还可能用到洛必达法则;还有时候变形转化成研究两个函数的图像的位置关系,为了便于把握图像特征,找到临界状态,把不等式问题转化为研究方程问题等等,重在根据思路进行合理恰当有效的变形,处理思路方向不同,变形要做到适可而止,恰到好处!有时一题可以有多种解法,哪个方法好也因题而易。本文就本题这些方法都用了,尽管有的方法特别麻烦,运算量也较大,但是作为第一轮分析,用多种解法研究高考题,迎难而上,认准的方法,坚持下去直到成功,对培养学生自信,吃苦耐劳,坚持、细致等学习品质都有一定的锻炼,提升学科素养,锻炼意志,坚定信念,咬定青山不放松的精神力量都有非常好的教育意义,所以数学课堂,也是德育教育的课堂,在数学教学中渗透德育教育也是每位教师包括数学老师的职责所在。
柴淑兰,山西省朔州市朔城区一中数学教师,副高级职称,省学科带头人,区教学能手,学科名师、优秀班主任、师德标兵,从教29年,坚持工作在教学第一线,主持年级教学工作,兼任班主任,工作踏实,教学风格严谨细致,注重基础,追本溯源,管理班级粗中有细游刃有余,深得学生敬重和家长好评。
作者往期文章链接:
20.柴淑兰、王丽敏——发挥向量的工具性巧解2020年全国一卷第20题第2问
19.柴淑兰、王丽敏:两个易错点——基本不等式法和代入消元法
17.柴淑兰、王丽敏——审视2021高考数学全国乙卷第19题数列题
8.柴淑兰、王丽敏:一道训练“配凑法”使用基本不等式求最值的题目
3.柴淑兰——关于“高中数学必修1第一章”难点处理策略(“待续”完整版)
2.柴淑兰——关于“高中数学必修1第一章”难点处理策略(待续)
1.柴淑兰——关于“高中数学必修1第一章”难点处理策略(续完)
投稿邮箱:zoushengshu@163.com;
商务联系:13297228197。