公众号“邹生书数学”创建于2018年8月28日。
开号宗旨:为热爱学习和研究的高中数学教师和教研员搭建学习交流平台,提升教学能力,促进专业发展。本公众号致力传播数学文化,发表教研成果,交流教学经验,探讨数学问题,展示解题方法,分享教学资源,为服务高中教学作贡献。
邹生书,男,1962年12月出生,本科学历,理学士学位,中学数学高级教师,黄石市高中数学骨干教师。主要从事高中数学教学、高中数学解题研究和探究性学习等。从2007年8月到2018年8月,在《数学通讯》《数学通报》《数学教学》《中学数学》《中学数学教学》等,二十多种学术期刊上发表解题和探究性学习文章300余篇。
公众号“邹生书数学”诚请高中数学教师、教研员和热爱数学的朋友不吝赐稿。来稿请注明真实姓名、工作单位和联系方式,一般只接受word文档格式的电子稿件,文稿请认真审查,防止错漏,确保无误,文责自负。
本公众号对优秀作者和名师一般会附上“作者简介”,以让广大读者更好地了解作者的研究成果和方向,以便进一步学习作者的相关数学思想或解题方法。
投稿邮箱:zoushengshu@163.com;
商务联系:13297228197。
群聊一道难度较大的二元
条件最值题
湖北省阳新县高级中学 邹生书 编辑整理
【编者按】这是昨天本公众号推文《林序灿——这个二元最值问题还有其它解法吗?》中的题目。发文前,也就是昨天编者将此题发到两个数学群进行问题征解,很快得到群里朋友的回音,讨论热烈,纷纷发帖交流解法。从交流情况可知,本题最大值求法较多,难点是最小值的求解,结果为根式,运算量大。最大值主要用不等式放缩法和构造向量方法求解,其中不等式放缩法大同小异,但精彩纷呈;惠文旭老师提供的构造向量法可谓联想丰富方法独特,极具创造性,并一箭双雕,结合三角函数同时求出了最小值。洪一平老师综合运用齐次化方法、三角换元和巧配凑辅助角等,一举拿下了最大值和最小值,解法巧妙精彩,令人拍案叫绝。小编用了几个小时整理成文呈现如下,与公众号邹生书数学的广大读者朋友交流分享。
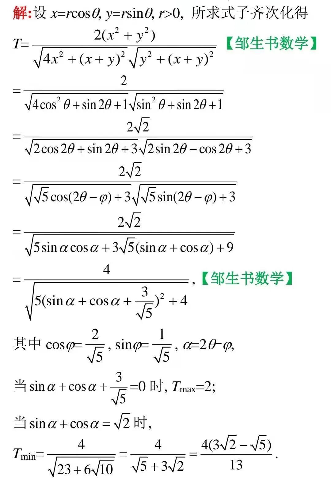
解法1: 齐次化+三角换元+巧配凑辅助角
浙江省平阳中学 洪一平 提供
解法2:配方法+消元法+判别式法
陕西魏拴文 湖北邹生书 提供
解法3:构造向量求解
陕西省三原县北城中学 惠文旭 提供
解法4:导数法 广东深圳 杨俊 提供
下面分享求最大值的几个不等式放缩解法
解法1:齐次化+均值不等式
河南信阳 张长新老师 提供
解法2:均值不等式放缩
广东广州 方伟中老师解答
解法3:配方法负数放缩
陕西 魏拴文 提供
解法4:重要不等式放缩
衡阳 王小国 提供
解法5:构造向量求解
陕西省三原县北城中学 惠文旭 提供
下面是林序灿老师昨天在本公众号对这个二元条件最值问题的解法研究文章。
这个二元最值问题还有其它解法吗?
作者:林序灿
【备注】二元最值问题有很多的处理手段和方法,对于该题,可供执行的有以下的方案:
方案一:直接将y表示为x进行消元求导求极值,观察到这里求导相对比较复杂,不适合低年级学生;
方案二:注意观察到,若将x+y=2进行平方,再带入再可以实现齐次化,但含有xy项,虽可以放缩换成x2+y2,依旧不是很好处理;
方案三:分母虽可以用柯西不等式进行放缩,要使得结果为常值,无从着手.
方案四:分子为x2+y2,可以引入参数表示x=1-t,y=1+t,既实现消元又能使分子较为简单,为较好的尝试思路和解答.
笔者不知道有没有更好更为便捷的解法,欢迎各位老师不吝赐教.
邹生书数学
2021年第一季度
最受读者欢迎的51篇数学解题文章
51.邹生书——湖北十一校联考抛物线大题的解法与极点极线背景
49.枯木逢春又再发 陈题改编创意新——兼谈多项选择题的解题技巧和命题建议
47.张国川——泉州市2021届高三质检立几题的命制与多种解法
46.洪一平等——2021汕头市高三质量检测压轴题解法大比拼
37.邹生书——圆锥曲线倾斜角互补的割线化切性质与相关问题处理技巧
35.邹生书——得分率很低的抛物线切点弦试题的多种处理方法赏析
27.邹生书:从一道抛物线试题的多种解法到圆锥曲线“伴侣点”的一个和谐性质
24.高中数学【立体几何】难点:外接球与内切球!你全部掌握了么?
23.洪 一平、邹生书——2021年广东四校联考理科第10题的解法再探讨
22.彭赛列闭合定理背景下的圆锥曲线内接三角形之内切圆半径问题
21.邹生书——从八省联考第7题例析圆锥曲线双切线问题的处理方法(完整版)
21.邹生书——从八省联考第7题例析圆锥曲线双切线问题的处理方法
19.八省联考数学试题评价与复习备考对策(附:数学试题官方参考答案)
15.邹生书——从八省联考数列大题研讨二阶线性递推数列通项公式
9.数形结合思想在高中数学中到底有多重要——读完之后我震惊了!!!
7.数学:听课感觉能听懂,为什么一做题就蒙圈?这是最好的答案!
6.邹生书——2008年高考江苏卷理科第14题的解法与背景 变式及应用
3.邹生书——圆锥曲线极点极线背景下高三百校联合测评选择题解法研讨
投稿邮箱:zoushengshu@163.com;
商务联系:13297228197。