公众号“邹生书数学”创建于2018年8月28日。
开号宗旨:为热爱学习和研究的高中数学教师和教研员搭建学习交流平台,提升教学能力,促进专业发展。本公众号致力传播数学文化,发表教研成果,交流教学经验,探讨数学问题,展示解题方法,分享教学资源,为服务高中教学作贡献。
邹生书,男,1962年12月出生,本科学历,理学士学位,中学数学高级教师,黄石市高中数学骨干教师。主要从事高中数学教学、高中数学解题研究和探究性学习等。从2007年8月到2018年8月,在《数学通讯》《数学通报》《数学教学》《中学数学》《中学数学教学》等,二十多种学术期刊上发表解题和探究性学习文章300余篇。
公众号“邹生书数学”诚请高中数学教师、教研员和热爱数学的朋友不吝赐稿。来稿请注明真实姓名、工作单位和联系方式,一般只接受word文档格式的电子稿件,文稿请认真审查,防止错漏,确保无误,文责自负。
本公众号对优秀作者和名师一般会附上“作者简介”,以让广大读者更好地了解作者的研究成果和方向,以便进一步学习作者的相关数学思想或解题方法。
投稿邮箱:zoushengshu@163.com;
商务联系:13297228197。
2020年新高考山东卷数学
第21题解法研究
——同构放缩携起手导数不等式难题不再有
高振宁 山东省新泰市第一中学
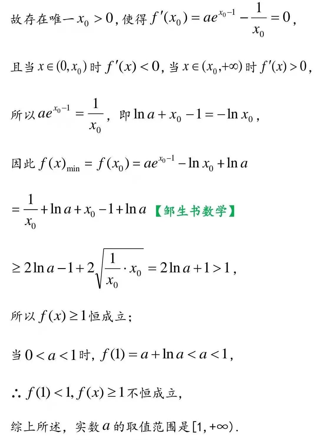
利用导数解决函数的不等式问题是高考数压轴题的常见形式,由于此类问题一般涉及导数与单调性、极值、最值等知识点,思维量较大、计算量较大,且经常需要灵活的构造特定目标函数,技巧性很强,得分一般不理想.此类问题的本质一般是求解特定目标函数的最值,多数情况下利用同构放缩思想构造特殊函数解决问题,函数解析式中往往含有ex或lnx,运算技巧比较大,为此笔者就2020年新高考全国Ⅰ卷(山东卷)数学第21题解法介绍一下自己的浅见,试图建立解决此类问题的通法,供大家参考.
方法六(分而治之法)
从解决问题方法的角度看,隐零点法是解决问题的一般性通法,但是此种方法需要强大的计算能力作为基础,特别是在利用进行代换得到
的这种思路,应该作为一种基本的解决导数不等式压轴题的基本思路进行培养。放缩法是山东省教育招生考试院给出的官方答案,此种办法的优点是,计算量不是大,借助分类讨论思想,利用特殊点明确参数的范围进而证明此范围符合题意,但是在实际的教学中,新教材已经把分析法和综合法等不等式证明方法删除,学生证明不等式能力较弱的情况下掌握放缩法不易,这就需要教师在教学中渗透不等式的证明方法,为了突破这个教学难点,笔者认为可以利用具体的证明方法,而不用过多的纠缠这种方法的具体含义和要求,比方说把“执果索因”给学生讲解成“把结论等价变形成能解决问题的形式”,在教学的实践中怎么充实这一点,还需要不断的在实际中摸索与探究。
方法三、四、五可以归结成同构法,同构法的本质是构造目标函数,借助目标函数单调性把复杂函数简单化,
当然,用同构法解题,除了要有同构法的思想意识外,对观察能力、对代数式的变形能力的要求也是比较高的.但是笔者认为,利用同构法可以最接近命题者的原始创作方向,此题目设计思路的开始点应该是ex≥ex/a.正所谓,同构新天地,放缩大舞台!
方法六属于解决问题的巧妙方法,不属于通性解法,一般情况下f(x)≥g(x)不等价于f(x)min≥g(x)max,但是对于极个别的问题,利用上分而治之的方法,会极大的降低运算程度,但是构造不等式两侧的目标函数有一定的技巧性,学生不易掌握.
其实,解决导数的不等式问题的方法是多样的、灵活的,并且学生更易于接受那种方法也是有区别的,大多数问题甚至有可能会用到两种或更多的方法的结合,具体的那种解决问题方法更好,要根据具体的题目来确定.但本质上此类问题可以分为两大类方向:(1)借助导数求出目标函数的最值;(2)利用同构放缩,把问题转化成简单函数的不等式或已知成立的不等式.至于导数解决函数不等式问题,用那种解决问题的办法更好,值得我们进一步作深入的研究.
参考文献
[1] 陈永清.轻松快捷巧记高中数学知识与解题方法[M].湖南:湖南师范大学出版社,2020:42-47.
邹生书数学
2021年第三季度
最受读者欢迎的46篇解题文章
46.符强如:图引方向,依形辅数——一道解析几何压轴题的解法探究
36.胡 雷、刘建东等:中科大新生入学方程有解求参数取值范围试题解法研讨
34.胡全勇、童永奇——探讨三角形内角平分线性质在解题中的妙用
21.柴淑兰、王丽敏——2020年高考全国一卷第21题 的多种解法探究
15.罗小明——例谈含对数条件式求取值范围 或最值的典型问题
14.罗小明:“圆”来如此简单——利用隐形圆求解向量模的最值问题
6.最新权威版《初高中数学衔接读本》来了!新高一的师生家长请收好!
5.邹生书——从IMO走进课本的三角形存在性探索题的拓展探究
4.邹生书——2021年新高考一卷第7题的直观解答与严谨解法
公众号邹生书数学
2020年9月至2020年12月最受读者欢迎的51篇数学解题文章
20191018—20200618最受读者欢迎的70篇文章链接
20191018—20200424最受读者欢迎的101篇文章链接
投稿邮箱:zoushengshu@163.com;
商务联系:13297228197。