公众号“邹生书数学”创建于2018年8月28日。
开号宗旨:为热爱学习和研究的高中数学教师和教研员搭建学习交流平台,提升教学能力,促进专业发展。本公众号致力传播数学文化,发表教研成果,交流教学经验,探讨数学问题,展示解题方法,分享教学资源,为服务高中教学作贡献。
邹生书,男,1962年12月出生,本科学历,理学士学位,中学数学高级教师,黄石市高中数学骨干教师。主要从事高中数学教学、高中数学解题研究和探究性学习等。从2007年8月到2018年8月,在《数学通讯》《数学通报》《数学教学》《中学数学》《中学数学教学》等,二十多种学术期刊上发表解题和探究性学习文章300余篇。
公众号“邹生书数学”诚请高中数学教师、教研员和热爱数学的朋友不吝赐稿。来稿请注明真实姓名、工作单位和联系方式,一般只接受word文档格式的电子稿件,文稿请认真审查,防止错漏,确保无误,文责自负。
本公众号对优秀作者和名师一般会附上“作者简介”,以让广大读者更好地了解作者的研究成果和方向,以便进一步学习作者的相关数学思想或解题方法。
投稿邮箱:zoushengshu@163
商务合作:13297228197.
例析数列和不等式的两种
类型及证明方法
山西省朔城区一中 张丽花
纵观近几年全国各地的高考数学试卷,不难发现数列不等式的证明正在悄然兴起。将数列与不等式结合起来构成的数列不等式,既具有数列的结构与特征,又蕴含了不等式证明的思想方法。
此类题型大致可以归为两大类:一类是不等号左侧的部分为可求和的某个数列的前n项和,其本质仍是在考查数列前n项和的求法。因此,在解决此类数列不等式证明问题时,可以先求出不等号左侧求和部分的表达式,然后利用作差法或者数列的单调性加以证明;另一类是不等号左侧欲求和的部分为不可求和的某个数列的前n项和,在解决这类数列不等式证明问题时,需要结合不等式右侧部分的特征对左侧求和部分对应数列的通项公式进行合理的放缩,从而得到一个新数列,再求其前n项和,所得结果恰好为不等式右侧的部分。
本文就两种题型分别给出了相应的例题供高中师生参考。如有纰漏,望大家及时指正,共同学习、交流。
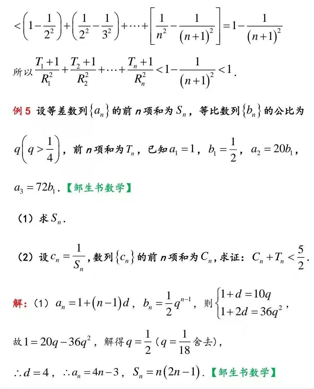
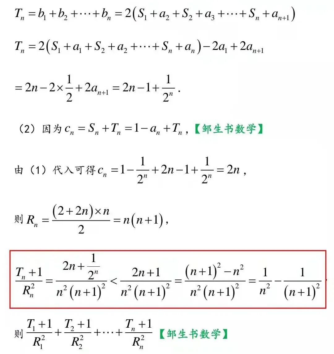
题型1:不等号左侧部分对应数列的前n项和可求得
方法:(1)直接利用求数列前n项的方法写出不等式左侧的表达式
(2)比较不等式左侧和右侧的大小(通过作差或数列单调性比较)
题型2:不等号左侧对应数列前n项和不易求得
方法:
(1)放缩不等式左侧前n项和对应数列的通项公式。
(2)具体放缩类型取决于不等号右侧的表达式,可能只从第几项开始放缩。
(3)通项公式an放缩成bn后前n项和需可求得,且对应的新前n项和恰与不等号右侧的表达式相同。
邹生书数学
2021年第三季度
最受读者欢迎的46篇解题文章
46.符强如:图引方向,依形辅数——一道解析几何压轴题的解法探究
36.胡 雷、刘建东等:中科大新生入学方程有解求参数取值范围试题解法研讨
34.胡全勇、童永奇——探讨三角形内角平分线性质在解题中的妙用
21.柴淑兰、王丽敏——2020年高考全国一卷第21题 的多种解法探究
15.罗小明——例谈含对数条件式求取值范围 或最值的典型问题
14.罗小明:“圆”来如此简单——利用隐形圆求解向量模的最值问题
6.最新权威版《初高中数学衔接读本》来了!新高一的师生家长请收好!
5.邹生书——从IMO走进课本的三角形存在性探索题的拓展探究
4.邹生书——2021年新高考一卷第7题的直观解答与严谨解法
公众号邹生书数学
2020年9月至2020年12月最受读者欢迎的51篇数学解题文章
20191018—20200618最受读者欢迎的70篇文章链接
20191018—20200424最受读者欢迎的101篇文章链接
投稿邮箱:zoushengshu@163.com;
商务联系:13297228197。