公众号“邹生书数学”创建于2018年8月28日。
开号宗旨:为热爱学习和研究的高中数学教师和教研员搭建学习交流平台,提升教学能力,促进专业发展。本公众号致力传播数学文化,发表教研成果,交流教学经验,探讨数学问题,展示解题方法,分享教学资源,为服务高中教学作贡献。
邹生书,男,1962年12月出生,本科学历,理学士学位,中学数学高级教师,黄石市高中数学骨干教师。主要从事高中数学教学、高中数学解题研究和探究性学习等。从2007年8月到2018年8月,在《数学通讯》《数学通报》《数学教学》《中学数学》《中学数学教学》等,二十多种学术期刊上发表解题和探究性学习文章300余篇。
公众号“邹生书数学”诚请高中数学教师、教研员和热爱数学的朋友不吝赐稿。来稿请注明真实姓名、工作单位和联系方式,一般只接受word文档格式的电子稿件,文稿请认真审查,防止错漏,确保无误,文责自负。
本公众号对优秀作者和名师一般会附上“作者简介”,以让广大读者更好地了解作者的研究成果和方向,以便进一步学习作者的相关数学思想或解题方法。
投稿邮箱:zoushengshu@163.com;
商务联系:13297228197。
高考和模拟考中的斐波那契
数列问题解析
湖北省阳新县高级中学 邹生书
斐波那契,公元13世纪意大利数学家,他在自己的著作《算盘书》中记载着这样一个“兔子繁殖问题”:假定有一对大兔子,每一个月可生下一对小兔子,并且生下的这一对小兔子两个月后就具有繁殖能力。假如一年内没有发生死亡,那么,从一对小兔子开始,一年后共有多少对兔子?
斐波那契在研究时,发现有这样一个数列的数学模型:1、1、2、3、5、8、13、21、34……,其中从第三个数起,每一个数都等于它前面两个数的和,亦即数列{an}满足: a1=1,a2=1,且an+2=an+an+1 .这个数列就是著名的“斐波那契数列”,而这个数列中的每一项称为“斐波那契数”.
事实上,斐波那契数列 的通项公式为,其神奇之处在于通项公式中含有无理数,但它的每一项都是正整数,并且斐波那契数列有许多有趣性质.
一、斐波那契数列通项公式的证明
二、斐波那契数列常见15个性质
(湖南永州 唐 佳 提供)
三、高考和模拟考试中的斐波那契数列问题
例1:意大利著名数学家斐波那契(1175年—1250年)经过长期时间研究兔子繁殖的数量发现,其数值满足某种规律.他将这些数据罗列出来,写成数列形式:1,1,2,3,5,8,1,….通过探索和不懈的努力,斐波那契得到了其通项公式为.同进发现这一数列的个位数是以60为周期变化的,故此数列称为斐波那契数列。今天,我们借助意大利著名数学家斐波那契对人类的此项贡献,求解的值的个位数为___
上述解法由浙江省平阳中学洪一平老师提供,下面编者再给出一个简解。
另解:根据题设提供的结论:“斐波那契数列的个位数是以60为周期变化的”,
【解析】河南师大附中 关仲卿 提供
依据数列递推公式得
例3(2020·江淮十校联考)
意大利著名数学家斐波那契在研究兔子繁殖问题时,发现有这样一列数:1,1,2,3,5,8,13,21,….该数列的特点是:前两个数都是1,从第三个数起,每一个数都等于它的前面两个数的和,人们把这样的一列数组成的数列{an}称为“斐波那契数列”,则(a1a3-a)(a2a4-a)(a3a5-a)…(a2 019a2 021-a)等于( )
A.1 B.2 020 C.-1 D.-2 020
解析 从特殊到一般 归纳推理
由题意得a1a3-a=1,a2a4-a=-1,a3a5-a=1,…,
∴当n为奇数时,anan+2-a=1;
当n为偶数时,anan+2-a=-1,
∴(a1a3-a)(a2a4-a)(a3a5-a)…(a2 019a2 021-a)=-1.
例 4(多选题)(九师联盟2020-2021学年高三新高考11月质量检测第12题)
斐波那契数列:1,1,2,3,5,8,13,21,34,…,又称黄金分割数列,是由十三世纪意大利数学家列昂维多•斐波那契以兔子繁殖为例面引入,故又称为“兔子”数列,其通项公式为,是用无理数表示有理数的一个范例,该数列从第三个数起,每项等于前相邻两项之和,即an+2=an+1+an,记Sn为数列{an}的前n项和,则下列结论正确的是( ),
A.S10=11a7 B. a2021=2 a2019+a2018
C. S2021= S2020+ S2019 D.S2019= a2020-1
解析1:逻辑推理
对于选项A.
S10=1+1+2+3+5+8+13+21+34+55=143=11a7,
故A正确。
对于选项B.
a2021=a2020+a2019=(a2019 +a2018)+a2019
=2a2019+a2018,
故B正确。
对于选项C.用错位相减法
S2021-S2020=a1+(a2-a1)+(a3-a2)+(a4-a3)+…+(a2021-a2020)
=1+a1+a2+ a3+…+a2019=1+S2019,
所以S2021=S2020+S2019+1,故C错误。
对于选项D。用裂项相消法
S2019= a1+ a2+ a3+….+ a2019+ a2020
=(a3-a2)+(a4-a3)+(a5-a4)+…+(a2021-a2020)
=a2021-1,
所以S2019= a2021-1,故选项D错误。
解法2:特殊化与一般化相结合,合情推理与逻辑推理相交汇
对于选项B,我们考察一般情形:
a2n+3=2a2n+1 +a2n是否正确.
当n=1时,左边=a5=5,右边=2 a3 +a2 =5,等式成立;
当n=2时,左边=a7=13,右边=2 a5 +a4 =13,等式成立;
当n=3时,左边=a9=34,右边=2 a7 +a6=34,等式成立;
由此,猜想正确,从而选项B正确。
对于选项C,我们来看一般情形Sn, Sn+1,Sn+2之间是否存在某种相等关系,
考察Sn +Sn+1-Sn+2的结果.
S1+S2-S3=1+2-4=-1;
S2+S3-S4=2+4-7=-1;
S3+S4-S5=4+7-12=-1;
由此猜想:Sn+Sn+1-Sn+2=-1,
于是有Sn+2=Sn+Sn+1 +1,
从而S2021=S2020+S2019+1,
故C错误。
对于选项D,我们来看一般情形Sn与an+2之间是否
存在某种等量关系,考察Sn-an+2的结果.
S1-a3=1-2=-1,S2-a4=2-3=-1,
S3-a5=4-5=-1,S4-a6=7-8=-1,
由此猜想S2019= a2021-1,故选项D错误。
例 5(多选题)(九师联盟2020-2021学年高三新高考11月质量检测巩固卷第12题)
意大利著名数学家斐波那契在研究兔子繁殖问题时,发现有这样一列数:1,1,2,3,5,….其中从第三个数起,每个数等于它前面两个数的和,后来人们把这样的一列数组成的数列{an}称为“斐波那契数列”,记Sn为数列{an}的前n项和,则下列结论正确的是( )
解析:用合情推理中的归纳法,从特殊到特殊发现规律求解。
根据“斐波那契数列”的定义可以写出数列的所有项,
数列{an}前面的部分项为:1,1,2,3,5,8,13,21,34,…
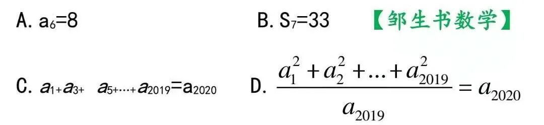
易知a6=8,S7=33,所以选项A,B都正确。
对于选项C,我们考察一般情形:
a1+a3+ a5+…+a2n-1=a2n是否正确。
当n=1时,左边=a1=1,右边=a2=1;
当n=2时,左边=a1+a3=3,右边=a4=3;
当n=3时,左边a1+ a3+ a5=8,右边=a6=8;
当n=4时,左边a1+ a3+ a5+a7=21,右边=a8=8=21;
由此,猜想a1+a3+ a5+…+a2n-1=a2n正确,
从而选项C正确。
对于选项D,我们考察一般情形:
综上,正确的选项是ABCD.
【评注】四个选项的多选题,如果设置的四个选项都正确,由评分细则知,考生任选1个或2个或3个选项都可以得2分,只有选择了四个选项才能得满分5分,不会出现得0分的情形。这样考生的分数只有2分和5分两个等级,拉不开档次,显得区分度不够,建议不出或少出四个选项都正确的多选题。
下面是2009福建卷的一道高考题。
【例6】5位学生围成一圈依序循环报数,规定:
(1)第1位学生首次报出的数为1,第2位学生首次报出的数也为1,之后每位学生所报出的数都是前2位学生报出的数之和.
(2)若报出的数为3的倍数,则报该数的学生,需拍手一次.
已知学生甲第1个报数,当5位学生依序循环报到第100个数时,学生甲拍手的总次数为 .
【解析】设报到n 个数为an,
则a1=1,a2=1,an+an+1=an+2 .
这个数列就是著名的斐波那契数列,前面各项依次为:
1,1,2,3,5,8,13,21,34,55,89,144,…,
归纳发现a4m为3的倍数.下面用数学归纳法证明:
(1)当m=1 时,a4 =3 ,命题成立;
(2)假设当m=k时,a4k为3的倍数,
则当m=k+1时,
a4k+4= a4k+2+a4k+3= a4k+a4k+1+( a4k+1 +a4k+2)
= a4k+2a4k+1++a4k+2= 2a4k+3a4k+1也是3的倍数.
由(1)(2)可知,a4m为3的倍数.
依题意,学生甲报的数为a5k+1 (0≤k≤19,k∈N*),这些数中是3 的倍数有a16,a36, a56,a76, a96,故学生甲拍手的总次数为5.
邹生书数学
2021年第三季度
最受读者欢迎的46篇解题文章
46.符强如:图引方向,依形辅数——一道解析几何压轴题的解法探究
36.胡 雷、刘建东等:中科大新生入学方程有解求参数取值范围试题解法研讨
34.胡全勇、童永奇——探讨三角形内角平分线性质在解题中的妙用
21.柴淑兰、王丽敏——2020年高考全国一卷第21题 的多种解法探究
15.罗小明——例谈含对数条件式求取值范围 或最值的典型问题
14.罗小明:“圆”来如此简单——利用隐形圆求解向量模的最值问题
6.最新权威版《初高中数学衔接读本》来了!新高一的师生家长请收好!
5.邹生书——从IMO走进课本的三角形存在性探索题的拓展探究
4.邹生书——2021年新高考一卷第7题的直观解答与严谨解法
公众号邹生书数学
2020年9月至2020年12月最受读者欢迎的51篇数学解题文章
20191018—20200618最受读者欢迎的70篇文章链接
20191018—20200424最受读者欢迎的101篇文章链接
投稿邮箱:zoushengshu@163.com;
商务联系:13297228197。