请点击上方蓝色字体“邹生书数学”,订阅本微信公众号;请点击右上角的“…”,发送给朋友或分享到朋友圈。
公众号“邹生书数学”创建于2018年8月28日。
开号宗旨:为热爱学习和研究的高中数学教师和教研员搭建学习交流平台,提升教学能力,促进专业发展。本公众号致力传播数学文化,发表教研成果,交流教学经验,探讨数学问题,展示解题方法,分享教学资源,为服务高中教学作贡献。
邹生书,男,1962年12月出生,本科学历,理学士学位,中学数学高级教师,黄石市高中数学骨干教师。主要从事高中数学教学、高中数学解题研究和探究性学习等。从2007年8月到2018年8月,在《数学通讯》《数学通报》《数学教学》《中学数学》《中学数学教学》等,二十多种学术期刊上发表解题和探究性学习文章300余篇。
公众号“邹生书数学”诚请高中数学教师、教研员和热爱数学的朋友不吝赐稿。来稿请注明真实姓名、工作单位和联系方式,一般只接受word文档格式的电子稿件,文稿请认真审查,防止错漏,确保无误,文责自负。
本公众号对优秀作者和名师一般会附上“作者简介”,以让广大读者更好地了解作者的研究成果和方向,以便进一步学习作者的相关数学思想或解题方法。
投稿邮箱:zoushengshu@163.com;
商务联系:13297228197。
2021数学通讯第11期问题
522到525的解答
广东省中山纪念中学(528454)邓启龙
邓启龙,男,1987年3月出生,2005年9月至2009年6月就读于南昌大学数学与应用数学专业,2009年9月至2012年6月就读于中国科学技术大学概率论与数理统计专业,2012年至今任教于广东省中山纪念中学。在《数学通讯》《理科考试研究》《中学数学教学》《中学数学研究(广东)》《中学数学研究(江西)》发表论文近二十篇。
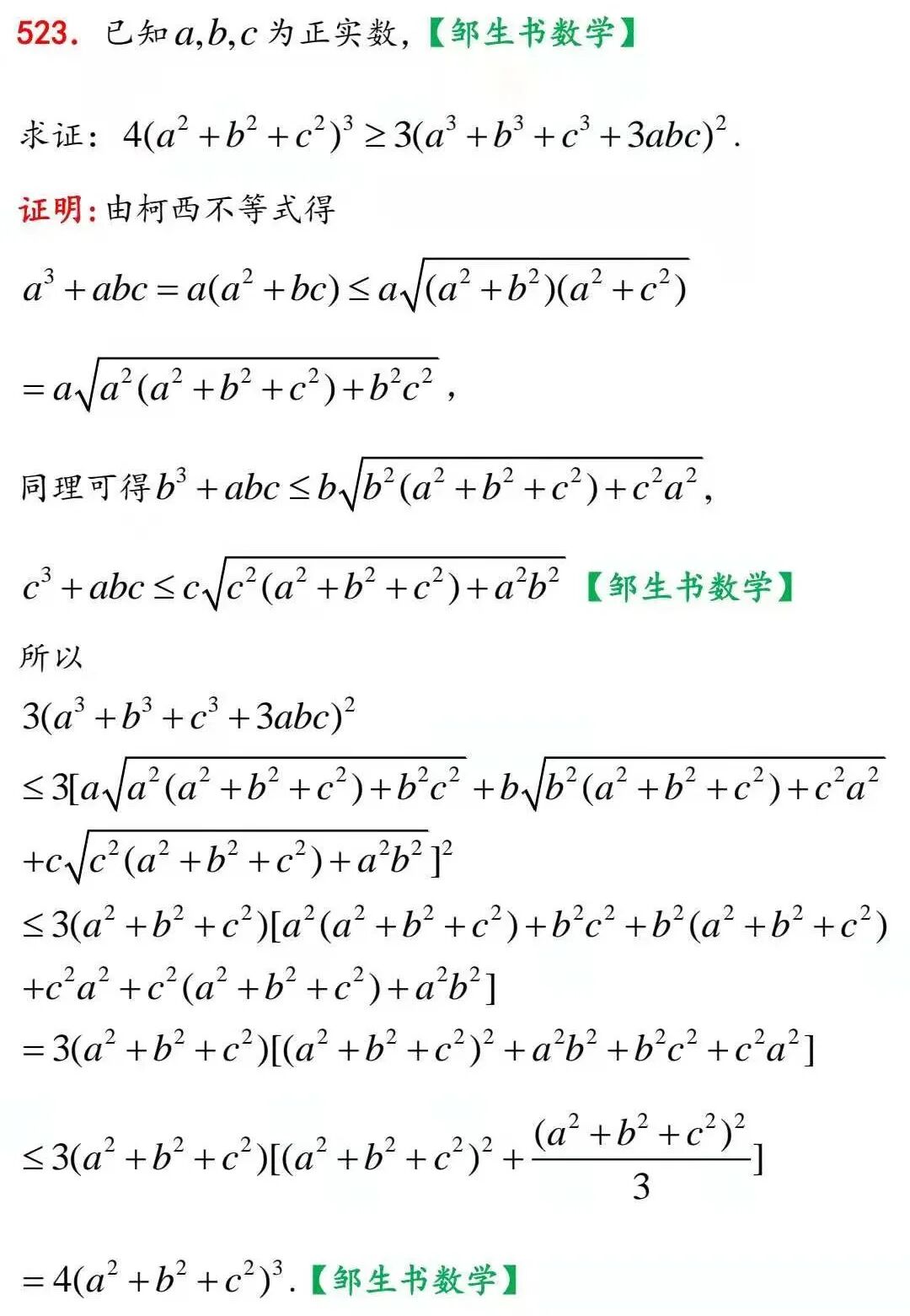
《数学通讯》2021年第11期问题
522和523的一个证明
辽宁沈阳二中 刘 锐
(712000 陕西省咸阳师范学院教育科学学院 安振平 供题)
证明:求证不等式可化为
【作者简介】刘锐,男,1963年生,辽宁师范大学研究生课程班毕业,现任教于沈阳二中。先后获得苏步青数学教育奖,国家级骨干教师,中学正高级教师,辽宁省特级教师,辽宁省优秀教师,辽宁省中小学素质教育拔尖人才,鞍山市首届十大名师,鞍山市优秀教师等荣誉称号。
撰写论文一篇在东亚国际数学教育年会上交流,四篇在全国初等数学研究学术交流会交流获奖,近二十篇发表在《中国数学教育》等数学教学研究期刊上;任主编出版书籍两本,参编出版书籍两本。
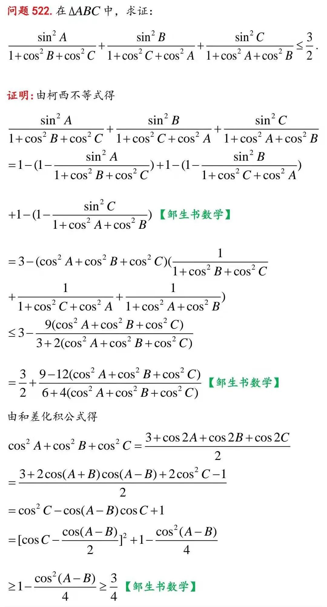
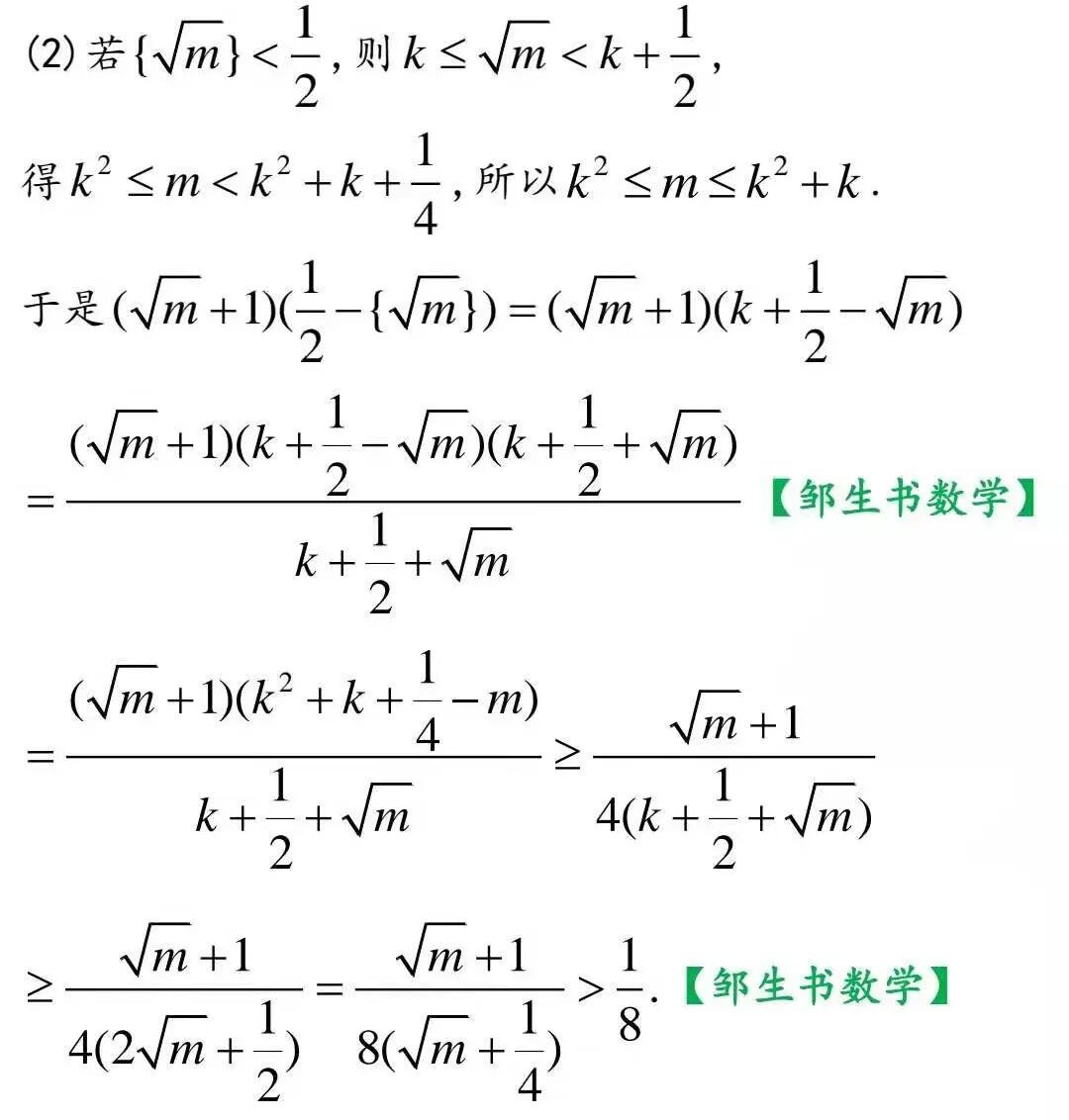
《数学通讯》2021年第11期问题
523和525的一个证明
浙江省平阳中学 洪一平
【作者简介】洪一平,男, 1962年4月出生, 1979年考上浙江大学应用数学系并于83年毕业, 获理学士学位, 毕业后分配到杭州商学院担任高数助教二年, 85年考上浙江大学应用数学系攻读计算机辅助几何设计专业硕士研究生学位, 89年获得理学硕士学位, 毕业后回家乡任教于浙江省平阳中学, 96年评上高中数学高级教师职称, 曾连续二十多年担任高中数学竞赛及培优辅导员。
邹生书数学
2021年第三季度
最受读者欢迎的46篇解题文章
46.符强如:图引方向,依形辅数——一道解析几何压轴题的解法探究
36.胡 雷、刘建东等:中科大新生入学方程有解求参数取值范围试题解法研讨
34.胡全勇、童永奇——探讨三角形内角平分线性质在解题中的妙用
21.柴淑兰、王丽敏——2020年高考全国一卷第21题 的多种解法探究
15.罗小明——例谈含对数条件式求取值范围 或最值的典型问题
14.罗小明:“圆”来如此简单——利用隐形圆求解向量模的最值问题
6.最新权威版《初高中数学衔接读本》来了!新高一的师生家长请收好!
5.邹生书——从IMO走进课本的三角形存在性探索题的拓展探究
4.邹生书——2021年新高考一卷第7题的直观解答与严谨解法
公众号邹生书数学
2020年9月至2020年12月最受读者欢迎的51篇数学解题文章
20191018—20200618最受读者欢迎的70篇文章链接
20191018—20200424最受读者欢迎的101篇文章链接
投稿邮箱:zoushengshu@163.com;
商务联系:13297228197。