公众号“邹生书数学”创建于2018年8月28日。
开号宗旨:为热爱学习和研究的高中数学教师和教研员搭建学习交流平台,提升教学能力,促进专业发展。本公众号致力传播数学文化,发表教研成果,交流教学经验,探讨数学问题,展示解题方法,分享教学资源,为服务高中教学作贡献。
邹生书,男,1962年12月出生,本科学历,理学士学位,中学数学高级教师,黄石市高中数学骨干教师。主要从事高中数学教学、高中数学解题研究和探究性学习等。从2007年8月到2018年8月,在《数学通讯》《数学通报》《数学教学》《中学数学》《中学数学教学》等,二十多种学术期刊上发表解题和探究性学习文章300余篇。
公众号“邹生书数学”诚请高中数学教师、教研员和热爱数学的朋友不吝赐稿。来稿请注明真实姓名、工作单位和联系方式,一般只接受word文档格式的电子稿件,文稿请认真审查,防止错漏,确保无误,文责自负。
本公众号对优秀作者和名师一般会附上“作者简介”,以让广大读者更好地了解作者的研究成果和方向,以便进一步学习作者的相关数学思想或解题方法。
投稿邮箱:zoushengshu@163.com;
商务联系:13297228197。
八省联考数列题的多解、
溯源及通法总结
刘海涛(安徽省芜湖市第一中学)
摘 要:2021年1月教育部为参加新高考的八省命制了一套模拟卷,文章对第17题数列题进行研究,从不同角度分析,给出七种不同解法,并在课本中找出该题的“题根”,最后做出一般化推广,总结归纳利用特征方程求二阶线性递推数列通项公式的通解通法,并根据特征方程根的情况予以分类,得到三种题型,以期对教学、研究、学习提供帮助.
关键词:八省联考;二阶线性递推关系式;特征方程;一般化推广
1、试题呈现与分析
(2021年1月23日全国高三“八省联考”数学第17题)
分析:该题主要考查了等比数列的判定,根据数列的递推关系式求通项公式等知识,考查了学生分析问题、解决问题的能力及特殊与一般、转化与化归的数学思想,体现了逻辑推理、数学运算等数学核心素养.第(1)问通过对递推关系式的变形不难证明;第(2)问在第(1)问的基础上展开,通常解法为方程特征根法.本文尝试对该题从不同的角度予以思考,给出不同的解法.
2、解法探究
评注:在归纳推理出一个结论后,我们需要予以严格的逻辑证明,而证明一个与正整数有关的数学命题时,我们通常可以采用数学归纳法,这为我们今后求数列通项公式提供了一个思路,在利用递推关系式计算出数列前几项值后,归纳推理出通项,最后用数学归纳法予以证明.
方法5(配凑对偶式法)
评注:仔细品味方法5和6,不难发现解答的关键在于“1”和“-3”这两个关键数,那么这两个数是如何找到的呢?事实上,它们是方程x2=2x+3的两根, x2=2x+3称为二阶线性递推关系式an+2=2an=1+3aN的特征方程,求解出特征方程是构造这两个数的依据.
3 回归课本,追根溯源
基于上述分析,不难发现方法1和2的实质是相同的,关键在于根据二阶线性递推关系式an=2an-1+3an-2(n≥3)构造出两个等比数列,联立方程组(对偶式)解出通项公式.这种解法是否可以推广到一般情况呢?答案是肯定的.
4 一般化推广,总结通解通法
4.1问题的一般化推广
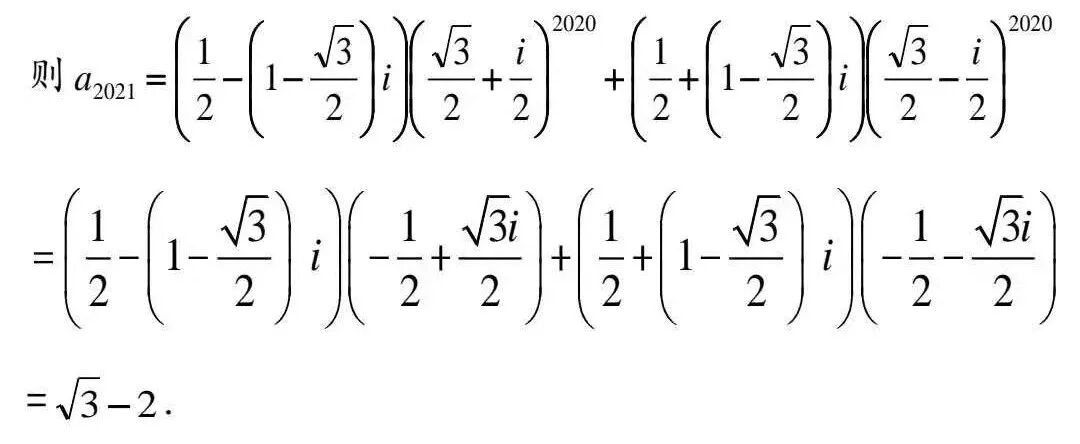
5.3特征方程有两共轭复数根
6 总结反思
数学解题的目的是什么?是求出问题的答案吗?是,但不全是!解题的目的是巩固数学基础知识、落实数学基本技能、感悟数学思想方法、提升数学思维活动经验,所以对一道典型问题,尤其是高考题的多角度分析与解答是非常有必要的.用多种方法解答同一道数学题,不仅能更牢固地掌握相关的数学知识,还能更灵活地运用所学知识.通过一题多解,分析、比较各种解法,可以找到最佳的解题途径,从而发散学生的思维能力,对巩固知识和解题能力大有裨益,是提高数学成绩的一条捷径[2].
当然并非解法越多越好,在寻求多解的过程中要突出通性、通法的辐射、迁移的作用,要追求水到渠成、自然而然的解题方法.正如数学家加德纳说:“数学的真谛在于不断寻求越来越简单的方法证明定理和数学问题”.笔者认为这里所谓的“简单”,不是指特殊的技巧,或书写过程的简洁,而是解答一道问题的思维过程是自然的、简单的,运用的知识也是基础的,正所谓“大道至简”,因此在文章中笔者总结归纳利用特征方程求二阶线性递推数列通项公式的通解通法,并根据特征方程根的情况予以分类,得到三种题型,以求让学生能“做一题,通一类”,真正实现“一题多解,多解归一”[3].另外,笔者认为在日常的教学中,教师还要指导学生结合自身掌握程度和实际情况,选择最佳的解题方法,不要一味追求某一种解法,要学会从不同解法中汲取不同的数学思想,提高自身的数学核心素养[4].
参考文献:
[1]刘海涛,耿静.2020年全国卷3数列题的解法探究[J].数理化学习(高中版),2020(10):3-6.
[2]刘海涛,聂坤.探析一道二元方程条件下二元二次函数的最值[J].中学数学教学,2020(06):39-40.
[3]刘海涛.对一道三角形面积问题的探究与拓展[J].教学考试,2021(02):52-54.
[4]刘海涛.用裂项相消法解多类数列求和问题[J].中学数学研究(华南师范大学版),2020(11):37-38.
作者简介:刘海涛(1988- ),安徽滁州人,中学一级教师,中国数学会会员,数学竞赛银牌教练员,芜湖市优秀教师、最美教师提名,校优秀班主任,市优质课二等奖,2015年起从事数学竞赛和理科实验班教学管理工作,辅导学生中2020年1人获国家银牌,2021年2人进省队即将参加数学冬令营决赛,多人获省一、二、三等奖.共撰写80余篇论文获省、市奖或发表于数学专业期刊.电子信箱:liuhaitao3890197@163.com;
邹生书数学
2021年第三季度
最受读者欢迎的46篇解题文章
46.符强如:图引方向,依形辅数——一道解析几何压轴题的解法探究
36.胡 雷、刘建东等:中科大新生入学方程有解求参数取值范围试题解法研讨
34.胡全勇、童永奇——探讨三角形内角平分线性质在解题中的妙用
21.柴淑兰、王丽敏——2020年高考全国一卷第21题 的多种解法探究
15.罗小明——例谈含对数条件式求取值范围 或最值的典型问题
14.罗小明:“圆”来如此简单——利用隐形圆求解向量模的最值问题
6.最新权威版《初高中数学衔接读本》来了!新高一的师生家长请收好!
5.邹生书——从IMO走进课本的三角形存在性探索题的拓展探究
4.邹生书——2021年新高考一卷第7题的直观解答与严谨解法
公众号邹生书数学
2020年9月至2020年12月最受读者欢迎的51篇数学解题文章
20191018—20200618最受读者欢迎的70篇文章链接
20191018—20200424最受读者欢迎的101篇文章链接
投稿邮箱:zoushengshu@163.com;
商务联系:13297228197。