公众号“邹生书数学”创建于2018年8月28日。
开号宗旨:为热爱学习和研究的高中数学教师和教研员搭建学习交流平台,提升教学能力,促进专业发展。本公众号致力传播数学文化,发表教研成果,交流教学经验,探讨数学问题,展示解题方法,分享教学资源,为服务高中教学作贡献。
邹生书,男,1962年12月出生,本科学历,理学士学位,中学数学高级教师,黄石市高中数学骨干教师。主要从事高中数学教学、高中数学解题研究和探究性学习等。从2007年8月到2018年8月,在《数学通讯》《数学通报》《数学教学》《中学数学》《中学数学教学》等,二十多种学术期刊上发表解题和探究性学习文章300余篇。
公众号“邹生书数学”诚请高中数学教师、教研员和热爱数学的朋友不吝赐稿。来稿请注明真实姓名、工作单位和联系方式,一般只接受word文档格式的电子稿件,文稿请认真审查,防止错漏,确保无误,文责自负。
本公众号对优秀作者和名师一般会附上“作者简介”,以让广大读者更好地了解作者的研究成果和方向,以便进一步学习作者的相关数学思想或解题方法。
投稿邮箱:zoushengshu@163.com;
商务联系:13297228197。
一题多构殊途同归
不等式与方程齐飞
湖北省阳新县高级中学 邹生书
在一些函数、数列或不等式问题中,“同构”已经成为一种常见的解题意识与技巧。即通过对已知不等式或等式进行等价变形,使两个考察的式子具有相同结构,然后通过构造函数,最后用这个函数的单调性予以解决,这个函数我们称之为同构函数。有趣的是,有的问题可以用多个同构函数进行解决,出现“同题异构”的现象,本文笔者通过典型题目解读“同题异构”在方程和不等式方面的应用,意在彰显同构意识,以期培养学生发现数学的结构共性的意识,以及利用结构的共性解题的思维导向,培养化归转化的数学思想方法和数学素养.
一.同题异构 解不等式恒成立求参数取值范围试题
解法2:佛山市顺德区均安中学 苏明剑 提供
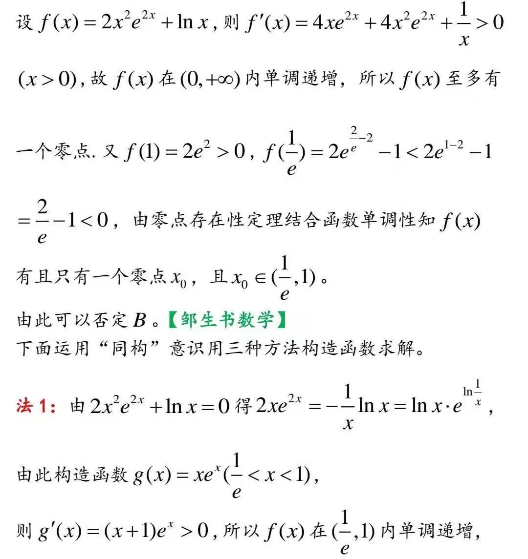
二.同题异构 求与方程根有关的问题
解:先证明方程有且只有一个实根且这个实根大于0小于1.
注:例4的解答由河南省固始县永和高级中学张长新和湖北省阳新县高级中学邹生书提供。
同构化解题意识与技巧,是人们研究数学的一种常见思路,我们对数学新知的一些认同,都是与熟知空间和知识不断同化结构的产物.从最初已知知识结构,到更为复杂的结构,结构对认识起中介作用,经历不断感知、抽象、认同、重构等过程. 而数学是研究现实世界中数与形之间各种模型的一门结构性科学,在解题实践过程中,我们须慧眼看清其题中函数或式子结构的共性,并合理构造共性,借助共性,应用共性解题,正如北京名师周长生老师所言,找共性,证共性,用共性!
参考文献:
王小国,同构意识在函数问题中的应用
下附:9篇同构文章链接
9.老唐说题——导数压轴题之同构式的三“生”三“释”+8个典型试题教你学同构
6.变形无意,同构有情——深度剖析同构思想在导数中的应用!!!
3.高振宁:2020年新高考山东卷数学第21题解法研究——同构放缩携起手导数2.不等式难题不再有
邹生书数学
2021年第三季度
最受读者欢迎的46篇解题文章
46.符强如:图引方向,依形辅数——一道解析几何压轴题的解法探究
36.胡 雷、刘建东等:中科大新生入学方程有解求参数取值范围试题解法研讨
34.胡全勇、童永奇——探讨三角形内角平分线性质在解题中的妙用
21.柴淑兰、王丽敏——2020年高考全国一卷第21题 的多种解法探究
15.罗小明——例谈含对数条件式求取值范围 或最值的典型问题
14.罗小明:“圆”来如此简单——利用隐形圆求解向量模的最值问题
6.最新权威版《初高中数学衔接读本》来了!新高一的师生家长请收好!
5.邹生书——从IMO走进课本的三角形存在性探索题的拓展探究
4.邹生书——2021年新高考一卷第7题的直观解答与严谨解法
公众号邹生书数学
2020年9月至2020年12月最受读者欢迎的51篇数学解题文章
20191018—20200618最受读者欢迎的70篇文章链接
20191018—20200424最受读者欢迎的101篇文章链接
投稿邮箱:zoushengshu@163.com;
商务联系:13297228197。