请点击上方蓝色字体“邹生书数学”,订阅本微信公众号;请点击右上角的“…”,发送给朋友或分享到朋友圈。
公众号“邹生书数学”创建于2018年8月28日。
开号宗旨:为热爱学习和研究的高中数学教师和教研员搭建学习交流平台,提升教学能力,促进专业发展。本公众号致力传播数学文化,发表教研成果,交流教学经验,探讨数学问题,展示解题方法,分享教学资源,为服务高中教学作贡献。
邹生书,男,1962年12月出生,本科学历,理学士学位,中学数学高级教师,黄石市高中数学骨干教师。主要从事高中数学教学、高中数学解题研究和探究性学习等。从2007年8月到2018年8月,在《数学通讯》《数学通报》《数学教学》《中学数学》《中学数学教学》等,二十多种学术期刊上发表解题和探究性学习文章300余篇。
公众号“邹生书数学”诚请高中数学教师、教研员和热爱数学的朋友不吝赐稿。来稿请注明真实姓名、工作单位和联系方式,一般只接受word文档格式的电子稿件,文稿请认真审查,防止错漏,确保无误,文责自负。
本公众号对优秀作者和名师一般会附上“作者简介”,以让广大读者更好地了解作者的研究成果和方向,以便进一步学习作者的相关数学思想或解题方法。
投稿邮箱:zoushengshu@163.com;
商务联系:13297228197。
继续用向量法解浙江2019高考第21题
刘耀忠 广东潮阳实验学校
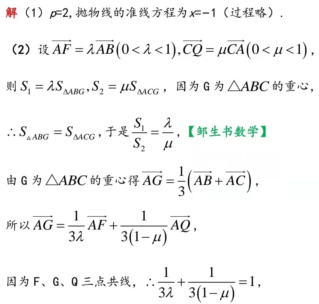
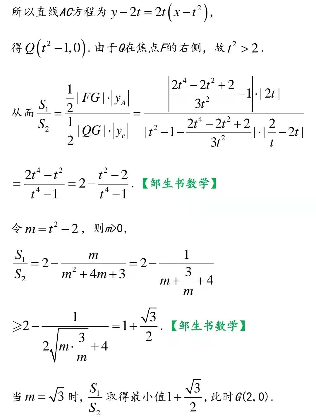
向量法求G点坐标比较困难。
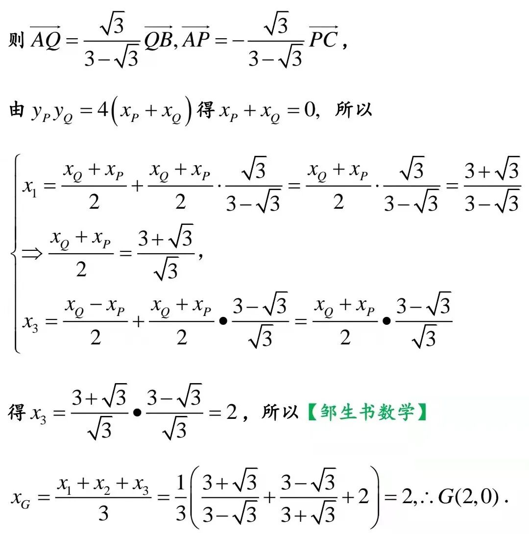
附:本题代数解法(运算量很大)
刘耀忠老师往期文章链接:
邹生书数学
2021年第三季度
最受读者欢迎的46篇解题文章
46.符强如:图引方向,依形辅数——一道解析几何压轴题的解法探究
36.胡 雷、刘建东等:中科大新生入学方程有解求参数取值范围试题解法研讨
34.胡全勇、童永奇——探讨三角形内角平分线性质在解题中的妙用
21.柴淑兰、王丽敏——2020年高考全国一卷第21题 的多种解法探究
15.罗小明——例谈含对数条件式求取值范围 或最值的典型问题
14.罗小明:“圆”来如此简单——利用隐形圆求解向量模的最值问题
6.最新权威版《初高中数学衔接读本》来了!新高一的师生家长请收好!
5.邹生书——从IMO走进课本的三角形存在性探索题的拓展探究
4.邹生书——2021年新高考一卷第7题的直观解答与严谨解法
公众号邹生书数学
2020年9月至2020年12月最受读者欢迎的51篇数学解题文章
20191018—20200618最受读者欢迎的70篇文章链接
20191018—20200424最受读者欢迎的101篇文章链接
投稿邮箱:zoushengshu@163.com;
商务联系:13297228197。