请点击上方蓝色字体“邹生书数学”,订阅本微信公众号;请点击右上角的“…”,发送给朋友或分享到朋友圈。
公众号“邹生书数学”创建于2018年8月28日。
开号宗旨:为热爱学习和研究的高中数学教师和教研员搭建学习交流平台,提升教学能力,促进专业发展。本公众号致力传播数学文化,发表教研成果,交流教学经验,探讨数学问题,展示解题方法,分享教学资源,为服务高中教学作贡献。
邹生书,男,1962年12月出生,本科学历,理学士学位,中学数学高级教师,黄石市高中数学骨干教师。主要从事高中数学教学、高中数学解题研究和探究性学习等。从2007年8月到2018年8月,在《数学通讯》《数学通报》《数学教学》《中学数学》《中学数学教学》等,二十多种学术期刊上发表解题和探究性学习文章300余篇。
公众号“邹生书数学”诚请高中数学教师、教研员和热爱数学的朋友不吝赐稿。来稿请注明真实姓名、工作单位和联系方式,一般只接受word文档格式的电子稿件,文稿请认真审查,防止错漏,确保无误,文责自负。
本公众号对优秀作者和名师一般会附上“作者简介”,以让广大读者更好地了解作者的研究成果和方向,以便进一步学习作者的相关数学思想或解题方法。
投稿邮箱:zoushengshu@163.com;
商务联系:13297228197。
数学教学中培养学生立体
发散思维的实践
432700湖北省广水市一中 彭光焰
1 关于立体发散思维
发散思维是指针对一个问题,沿着不同的方向去思考,从不同角度提出解决问题方案的思维.也有的说发散思维是指沿着各种不同的方面去思考,重组现有的和记忆中的信息,产生新信息的过程.发散思维具有流畅性、变通性和独特性的特点.发散思维是创造性思维的核心组成部分.美国心理学家吉尔福特说:“人的创造力主要依靠发散思维,它是创造思维的主要成份.”因此,在中学数学教学中,开拓学生积极的求异思维、敏锐的洞察力、活跃的灵感,培养和拓展学生的发散思维能力,对克服题海战术,减轻学生负担,特别是造就创造型人才至关重要.
所谓立体发散,即从同一发散点(知识点)出发,通过多角度、多形式、多层次的命题变换,编织从点→线→面→体的立体思维网络,对学生进行发散思维训练,从而灵活地掌握各知识点,进而达到信息迁移和巧解巧算的新高考的能力要求.立体发散思维网络图如下:
2 培养学生立体发散思维的必要性
据新华社报道:美国加州中学生的平均考试成绩在50个州里排在倒数几名,但加州科技人员的发明和专利总数位居全美第一位,近十年来的经济增长率也一直远远高于其他各州.其中最主要的一个原因就是加州的教育制度更注重鼓励学生的创造性思维.
在美国,各类学校乃至整个社会最忌讳因循守旧,崇尚标新立异的创新精神.他们鼓励学生怀疑、反驳、否定前人的理论,即使否定的对象是自己的老师,甚至学术界的权威.而中国学生从小习惯了被动型的教育,听老师的话成了夸奖和提倡的标准,而自己的主意和想法往往被认为幼稚和异想天开,在这种环境下成长起来的中国学生,往往是能精确地“知其然”而很少主动探索其“所以然”.
从小到大,我们的学生沿袭着一条又一条的正道和标准,习惯了跟着老师的思路走并且慢慢地接受它、记住它,随着条条框框的增多,在知道了许多事实和道理之后,创造性的思维慢慢退化,丰富的想象力变得越发苍白,因为我们太注意的是公式、重点和标准化的答案,而不是自己独立的想法.
我们经常吃苹果,却从未有人注意到横切的苹果剖面竟然是个五角星,而一个美国孩子却注意到了.原因很简单,我们已经习惯了纵切苹果,又有谁去故意横切苹果,然后发现五角星的秘密呢?思维定势使大多数人因循守旧,墨守陈规,扼杀了自己想象力的同时也丧失了创造性的思维,这就是所谓的标准化可悲.
想象是通向创造的翅膀,孩子们的想象力是丰富.一个圆圈,孩子们可以认为它是一张口、一个饼、一只球、甚至是男孩用手推的一只铁环,而到中学生眼里,就只剩下数字“零”和字母“欧”两种答案了. 受教育的增多,却使我们的思维更单一,视角更狭窄,难道这就是我们教育的最终目的吗?
进入21世纪,我们迎来了一个以知识经济为主导的新世纪,那些掌握客观规律,善于运用创造性思维并且拥用熟练技能的人才,将成为最受欢迎的人才,这就要求我们的教育更重视培养一种独立思考的能力,鼓励创造性的思维和从不同角度解决问题的办法,不但要授其“然”,更要授其“所以然”,这才是摆在育人面前的一条正道.由于发散思维是创造性思维的核心组成部分,所以要培养学生创造性思维能力,就必须从发散思维开始.
3 例谈在教学中如何培养学生立体发散思维
在数学教学中,如何克服题海战术,培养学生能力,既是考核的要求,也一直是中学数学教学的热点.为此,笔者在我校通过近几年的教改实践,研究和探索出了“巧用习题,进行立体发散思维训练;培养能力,引导学生跳出题海”的有效途径.
现通过例题,详述如下:
3.1 变化发散——一题多变
通过保持原命题的发散点,变换形式的发散思维.主要包括题型变换、条件变换两种形式.
变2至变9的解析从略,请读者自己完成,要注意的是有的有两个答案,不要遗漏.
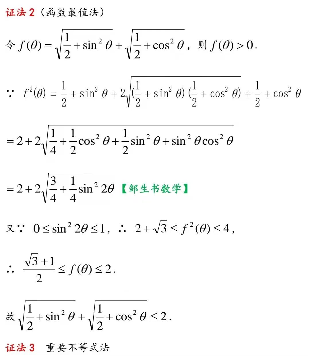
3.2解法发散——一题多解
通过一题多解进行的发散思维.进而找出最佳解题方法,提高解题能力.
∴原不等式成立.
3.3阶梯发散——一题多问
解题能力要求逐步提高的发散思维.主要有一题多问题、一带几连带型、题组等形式.
解析 题中提出的四个问题,从一个角度看,它们是相互联系的,递进式的推进,前一个问题能为完成后一个问题提供一定的条件,形成一条思维链;从另一个角度看,它们又是相对独立的,每一个问题能够不依赖前面的问题进行独立推导,使学生的思维能从不同的切入口展现,不受束缚. 这样能为学生的空间想象能力和逻辑推理能力的表现提供广阔的空间.下面具体地加以阐明.
3.4 分析发散——一题多答
通过分析、归纳的思维方法解决问题的发散思维.如多答题、参数讨论型解答题、开放探索型试题等.
例5 已知圆柱的侧面展开图是边长为2和4的矩形,求圆柱的体积.
解析当圆柱底面圆周长为2,圆住的高为4时,圆柱的体积为4/π;当圆柱底面圆周长为4,圆柱的高为2时,圆柱的体积为8/π.
(填写任何能推导出这个结论的其他条件,例如ABCD是正方形、菱形等均可).
3.5 比较发散——纵横比较
通过纵向或横向比较的发散思维. 如幂函数、指数函数、对数函数、三角函数等值的比较大小.
3.6 逆向发散——反向思考
由目标至条件的反向思考的发散思维.在高三数学复习中,经常会遇到逆向型题目,若能将这类问题放在一起讨论,对培养逆向思维,加深知识的理解,将十分有益.现举例说明如下:
3.7 迁移发散——信息迁移
通过知识、信息的迁移解决新问题的发散思维.学习的目标之一,是实现知识技能的迁移,即灵活应用知识.在复习时,这一点显得尤为重要.
3.8 创造发散——巧解巧算
克服思维定势,不按常规思路解决问题的发散思维.
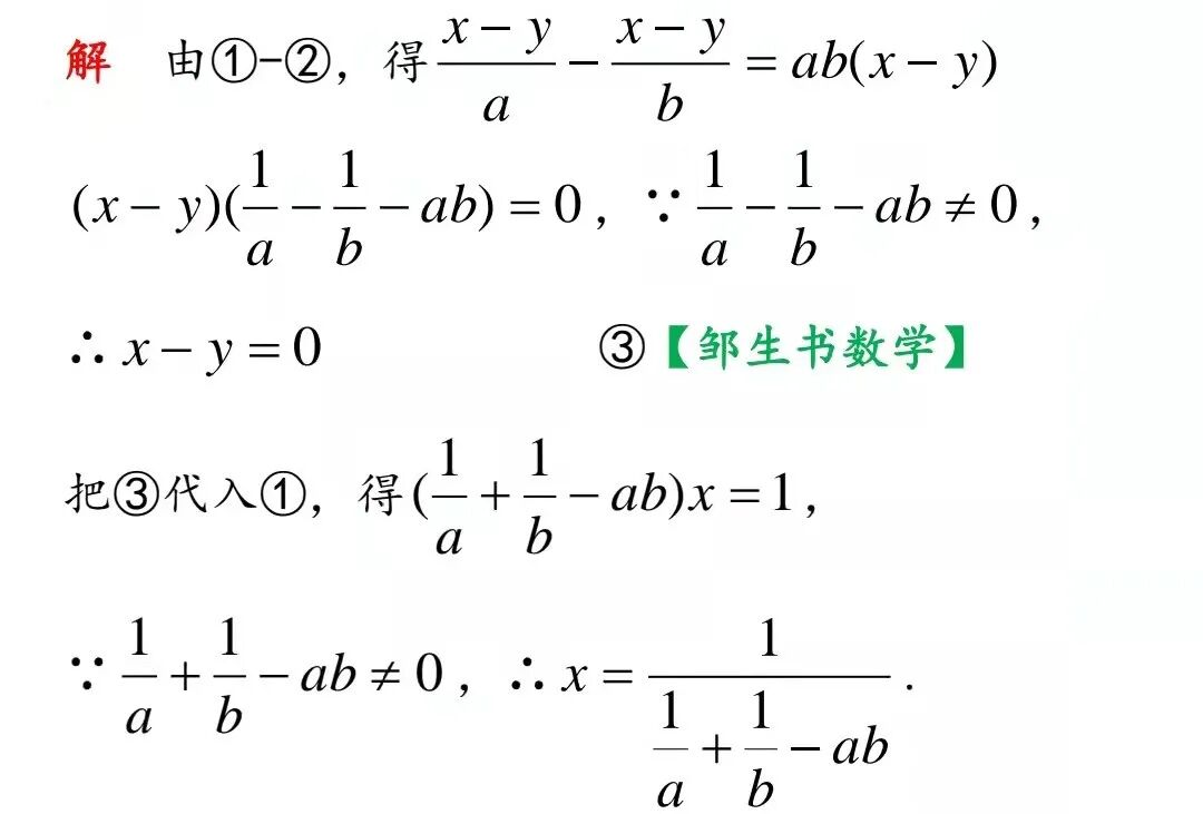
分析 如缺乏对此题信息源的认识,按学生一般的思维模式,多数学生只能停留在用代入消元或加减消元的方法上进行求解.这样以来由于计算较繁,很可能得不到正确结果.观察系数特点,整体叠加寻找隐含的x,y的关系.
实践表明用上述方法进行立体发散思维训练,会加深学生对基础知识的透彻理解,使他们能够举一反三,触类旁通,因而也实现了由知识向能力的升华.
参考文献
[1]彭光焰.让学生直接参与对例习题的改造.中学数学,1999,2
彭光焰老师往期文章链接
40.彭光焰:构造向量解题
16.彭光焰——向量数量积不等式|a|∧2|b|∧2≥(a•b)∧2的解题探究
11.彭光焰:方法与过程并行 巧解与通解并重——也谈2013年重庆市高考理科考试说明样题第17题
10.彭光焰:巧用教材资源 命制高考试题 ——对2014年湖北省高考文科数学第17题的探究
8.彭光焰:从“路径依赖”到“另辟蹊径” ———从几道三角题的解法谈起
7.彭光焰:全面理解 多方转化——一道分式函数最值问题的多角度审视
【作者简介】彭光焰,男,1989年6月毕业于华中师范大学数学系,正高级教师,湖北省特级教师。湖北省广水市第一高级中学副校长。2018年荣获中学数学教育最高奖“苏步青数学教育奖”,湖北省优秀中学数学教师,湖北省骨干教师,湖北省教育科学研究学术带头人,享受湖北省人民政府和随州市人民政府津贴专家,随州市首批学科带头人,随州市首批十大名师。随州市教研室高中数学兼职教研员,随州市高中数学学科核心团队成员,湖北省高中数学名师工作室和随州市高中数学名师工作室主持人,曾被华中师范大学聘为华中师范大学免费师范生导师,曾被《语数外学习》编辑部聘为编委。随州市第一届、第二届政协委员,广水市第五届、第八届政协委员。自1988年4月28日至今,先后在《中国教育报》《数学通报》《中学数学教学参考》《数学通讯》《中学数学》等全国30余家省级以上报刊发表文章160余篇,其中在核心期刊发表论文32篇,主持各级课题5项,参编高中数学教学用书6册,获地级以上教科研成果奖38项。
投稿邮箱:zoushengshu@163.com;
商务联系:13297228197。