请点击上方蓝色字体“邹生书数学”,订阅本微信公众号;请点击右上角的“…”,发送给朋友或分享到朋友圈。
公众号“邹生书数学”创建于2018年8月28日。
开号宗旨:为热爱学习和研究的高中数学教师和教研员搭建学习交流平台,提升教学能力,促进专业发展。本公众号致力传播数学文化,发表教研成果,交流教学经验,探讨数学问题,展示解题方法,分享教学资源,为服务高中教学作贡献。
邹生书,男,1962年12月出生,本科学历,理学士学位,中学数学高级教师,黄石市高中数学骨干教师。主要从事高中数学教学、高中数学解题研究和探究性学习等。从2007年8月到2018年8月,在《数学通讯》《数学通报》《数学教学》《中学数学》《中学数学教学》等,二十多种学术期刊上发表解题和探究性学习文章300余篇。
公众号“邹生书数学”诚请高中数学教师、教研员和热爱数学的朋友不吝赐稿。来稿请注明真实姓名、工作单位和联系方式,一般只接受word文档格式的电子稿件,文稿请认真审查,防止错漏,确保无误,文责自负。
本公众号对优秀作者和名师一般会附上“作者简介”,以让广大读者更好地了解作者的研究成果和方向,以便进一步学习作者的相关数学思想或解题方法。
投稿邮箱:zoushengshu@163.com;
商务联系:13297228197。
圆锥曲线四点共圆问题命题背景研究
——由2021年新高考1卷21题所想
济南历城二中 张成凯
在高中知识的范畴内,四点共圆问题很少有纯几何的题目,但是在高考圆锥曲线问题中我们经常会遇到四点共圆问题,我们有必要对这类问题加以研究,总结规律,以揭示其命题背景.
先以2021年新高考1卷21题为例。
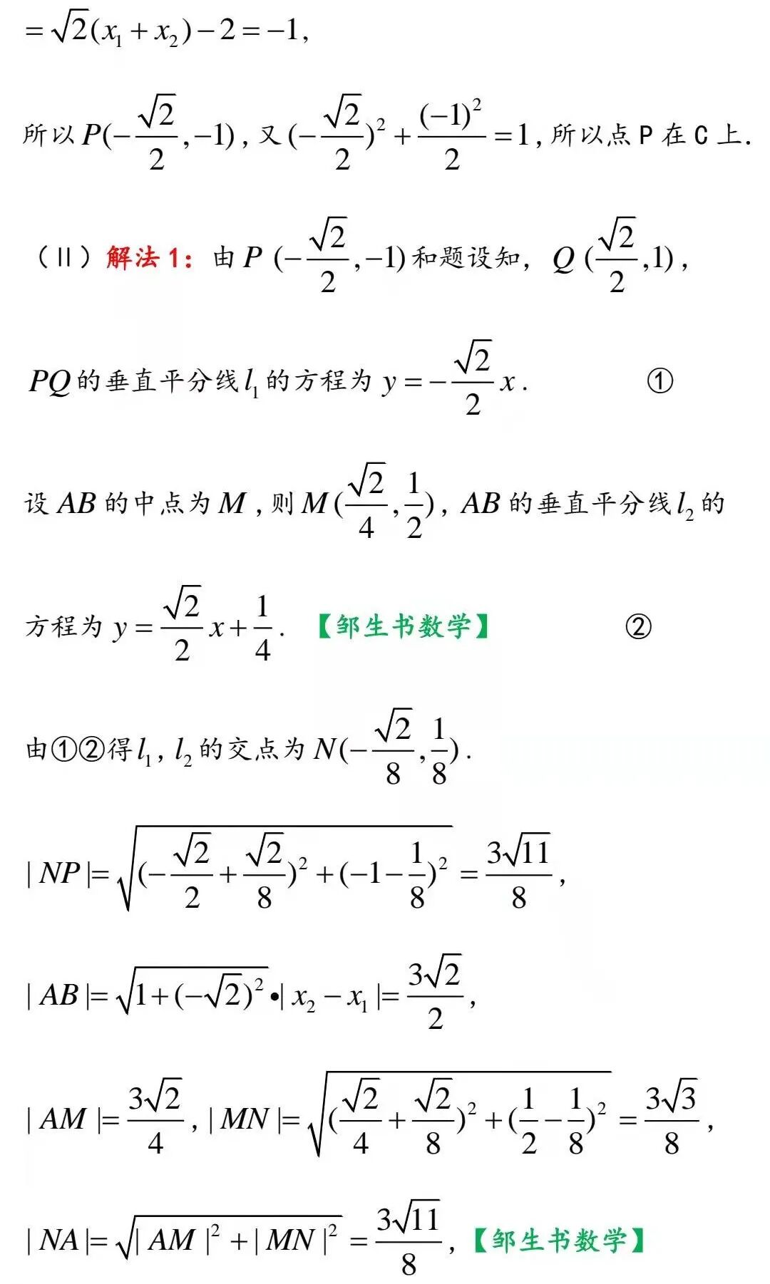
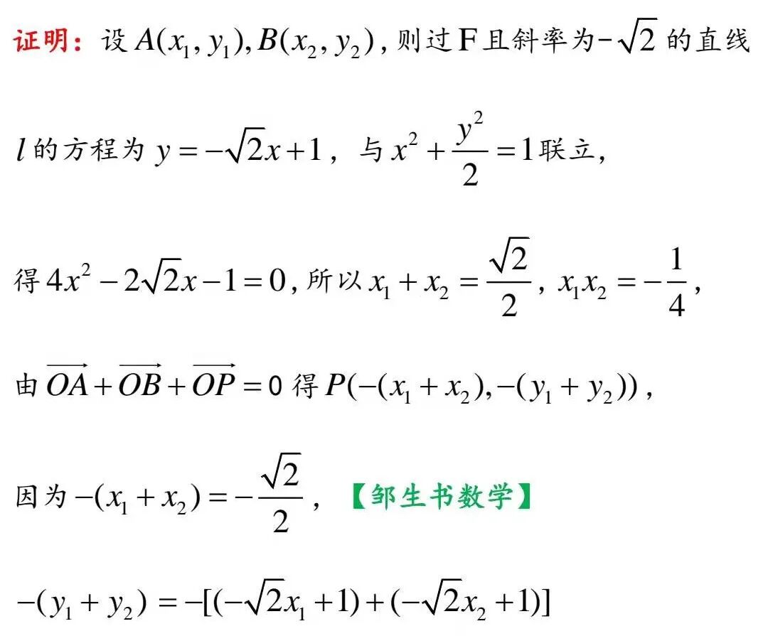
【点评】方法点睛:求定值问题常见的方法有两种:
(1)从特殊入手,求出定值,再证明这个值与变量无关;
(2)直接推理、计算,并在计算推理的过程中消去变量,从而得到定值.
背景一:初中平面几何
基于圆幂定理来证明四个点共圆或者推导四点共圆问题的充要条件。
圆幂定理:如果交点为P的两条相交直线与圆O相交于A、B与C、D,则PA·PB=PC·PD.
那么证明四点共圆问题时,我们可以先用四个点构建一个四边形并用代数式表示出两条对角线的方程之后和圆锥曲线联立。求得PA·PB和PC·PD的值,证明它们相等进而得证四点共圆。可推导四点共圆充要条件为:
圆锥曲线上四个不同的点组成的四边形对角线倾斜角互补。
背景二:高中解析几何
的形式,这种形式表示的曲线有且仅有三种情形:一个圆,一个点,无轨迹,而题中的四个交点在曲线②上,所以方程②表示圆.这就证得了四个交点共圆.
下面利用这个定理来解决圆锥曲线中四点共圆问题.
例1【2014年全国大纲卷】
【点评】根据计算结果,可以验证符合定理,但不宜直接使用.
例2【2011全国卷Ⅱ】
【点评】根据定理,可知本题命题背景,但不宜直接使用.
例3【(2005年湖北卷】
【点评】根据定理,可知本题命题背景,但不宜直接使用.
四点共圆问题在近20年的高考中经常露面,圆在解析几何中占有重要地位,命题人经常在圆和其他圆锥曲线交汇处设计问题,因此我们要高度重视,进一步研究.
【作者简介】张成凯,高级教师,济南市高中数学中心组成员,济南教师队伍建设专家人选,济南市优秀班主任、济南市历城区高中数学学科带头人、教学能手、优秀教师,济南市历城二中学科教学专家、领军教师、备课组长、学校督学,高考阅卷题组长,济南大学硕士研究生兼职导师。
邹生书数学
2021年第三季度
最受读者欢迎的46篇解题文章
46.符强如:图引方向,依形辅数——一道解析几何压轴题的解法探究
36.胡 雷、刘建东等:中科大新生入学方程有解求参数取值范围试题解法研讨
34.胡全勇、童永奇——探讨三角形内角平分线性质在解题中的妙用
21.柴淑兰、王丽敏——2020年高考全国一卷第21题 的多种解法探究
15.罗小明——例谈含对数条件式求取值范围 或最值的典型问题
14.罗小明:“圆”来如此简单——利用隐形圆求解向量模的最值问题
6.最新权威版《初高中数学衔接读本》来了!新高一的师生家长请收好!
5.邹生书——从IMO走进课本的三角形存在性探索题的拓展探究
4.邹生书——2021年新高考一卷第7题的直观解答与严谨解法
公众号邹生书数学
2020年9月至2020年12月最受读者欢迎的51篇数学解题文章
20191018—20200618最受读者欢迎的70篇文章链接
20191018—20200424最受读者欢迎的101篇文章链接
投稿邮箱:zoushengshu@163.com;
商务联系:13297228197。