《邹生书数学》创建于2018年8月28日,是由在20多种数学专业学术杂志上发表300多篇文章,有40年丰富教学经验的数学高级教师邹生书创建和主编的公众号。公众号拥有强大的作者和撰稿团队,其中“数学解题与写作交流群”和“高中数学解题交流二群”是该公众号的解题研究基地。公众号志在传播数学文化,交流解题方法,提供高考、模考和大型联考试题与解析,分享数学问题探讨等教学教研文章。公众号目前粉丝10w+,原创文章2400多篇,是高中数学教师和数学爱好者学术交流和学习的好平台,是优秀高中生的良师益友。
公众号“邹生书数学”诚请高中数学教师、教研员和热爱数学的朋友不吝赐稿。来稿请注明真实姓名、工作单位和联系方式,一般只接受word文档格式的电子稿件,文稿请认真审查,防止错漏,确保无误,文责自负。
本公众号对优秀作者和名师一般会附上“作者简介”,以让广大读者更好地了解作者的研究成果和方向,以便进一步学习作者的相关数学思想或解题方法。
投稿邮箱:zoushengshu@163.com;
商务联系:13297228197。
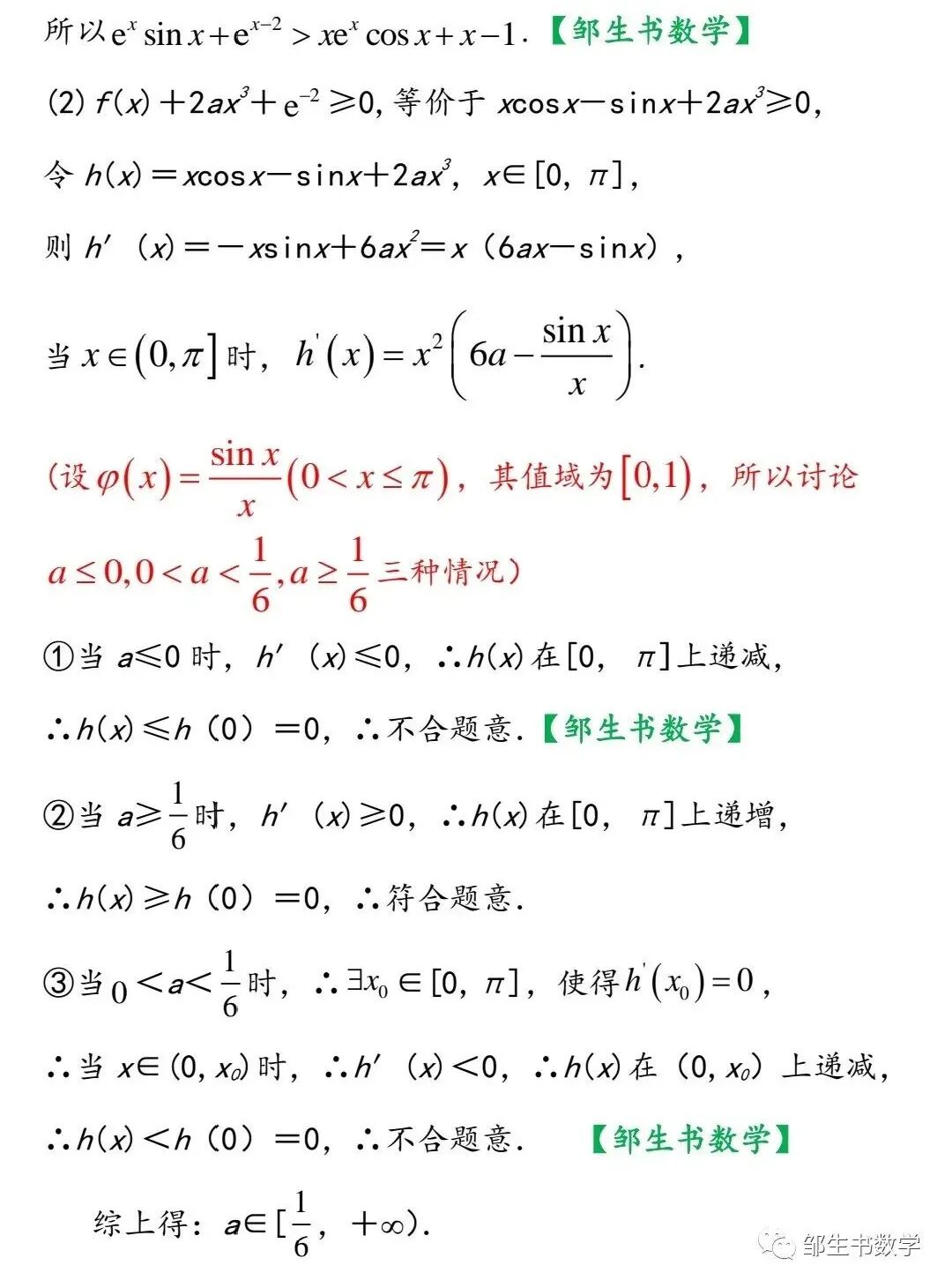
一类特别的分类讨论标准确定问题
刘耀忠 广东潮阳实验学校
【作者简介】刘耀忠,湖北黄冈市人,现就职广东潮阳实验学校。在《中学生数理化》《新高考》《中学数学研究》等杂志发表文章30余篇,主编教辅资料两本。
刘耀忠老师往期文章链接:
81.刘耀忠——切线夹与曲线夹
51.刘耀忠——旋转还是用复数
50.刘耀忠——三角形中的隐圆
43.刘耀忠——巧设直线方程求解清华2022年 3月标测压轴题
33.刘耀忠——构造圆求最值
27.刘耀忠——玩转矩形大法
23.刘耀忠——这种解法对吗?为什么与教材提出的问题不符合?
公众号邹生书数学
投稿邮箱:zoushengshu@163.com;
商务联系:13297228197。