《邹生书数学》创建于2018年8月28日,是由在20多种数学专业学术杂志上发表300多篇文章,有40年丰富教学经验的数学高级教师邹生书创建和主编的公众号。公众号拥有强大的作者和撰稿团队,其中“数学解题与写作交流群”和“高中数学解题交流二群”是该公众号的解题研究基地。公众号志在传播数学文化,交流解题方法,提供高考、模考和大型联考试题与解析,分享数学问题探讨等教学教研文章。公众号目前粉丝11万,原创文章2500余篇,是高中数学教师和数学爱好者学术交流和学习的好平台,是优秀高中生的良师益友。
公众号“邹生书数学”诚请高中数学教师、教研员和热爱数学的朋友不吝赐稿。来稿请注明真实姓名、工作单位和联系方式,一般只接受word文档格式的电子稿件,文稿请认真审查,防止错漏,确保无误,文责自负。
本公众号对优秀作者和名师一般会附上“作者简介”,以让广大读者更好地了解作者的研究成果和方向,以便进一步学习作者的相关数学思想或解题方法。
投稿邮箱:zoushengshu@163.com;
商务联系:13297228197。
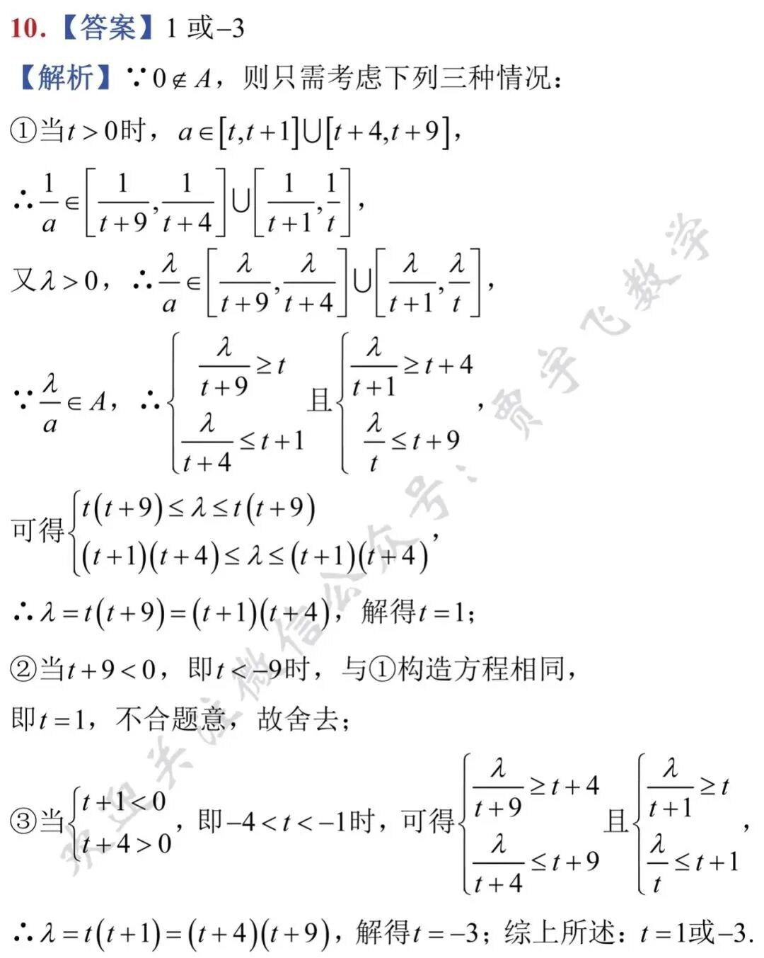
转自:贾宇飞数学
邹生书数学
2022年第2季度最受读者欢迎的
55篇解题文章
54.王安平——2022南京大学强基复试三角函数题的四种创新解法
53.邹生书——2022年新高考2卷第8题函数值求和解法研讨
51.重视核心素养,考好高中数学——以2022全国新高考1卷数学为例
50.邹生书——2022年全国新高考II卷数学22题的命题套路与解法研讨
49.2022年全国高考乙卷理科数学单选11题有两个正确选项?怎么打分?
48.罗碎海——分析2021与2022年高考数学解几题的关系
46.罗碎海——分析2017年与2022年高考数学解几题的关系
44.邹生书——从新高考I卷12题看抽象函数与导函数之间的对称性和周期性
43.2022年全国新高考数学I卷解析几何压轴第21题的源与流
42.惠文旭:拥有二级结论 做题就这么豪横——全国乙卷压轴选择题解答分享
40.马力仲——2022年高考两道圆锥曲线压轴题的参数方程解法
39.刘蒋巍:立意新颖,界定明确,有效区分——2022全国新高考1卷数学评析
20.张国川:基于几何关系和二级结论下的阿基米德三角形问题研究
16.张国川:基于跨学段大单元视角看高三试题——用平几的办法解三角形
14.方亚斌教授专题讲座——新高考数学题的课本题源探秘及启示
4.戴泓涛 王大伟——与抛物线双切线相关的两个三角形外接圆方程的求法
邹生书数学最受读者欢迎的解题文章链接
投稿邮箱:zoushengshu@163.com;
商务联系:13297228197。