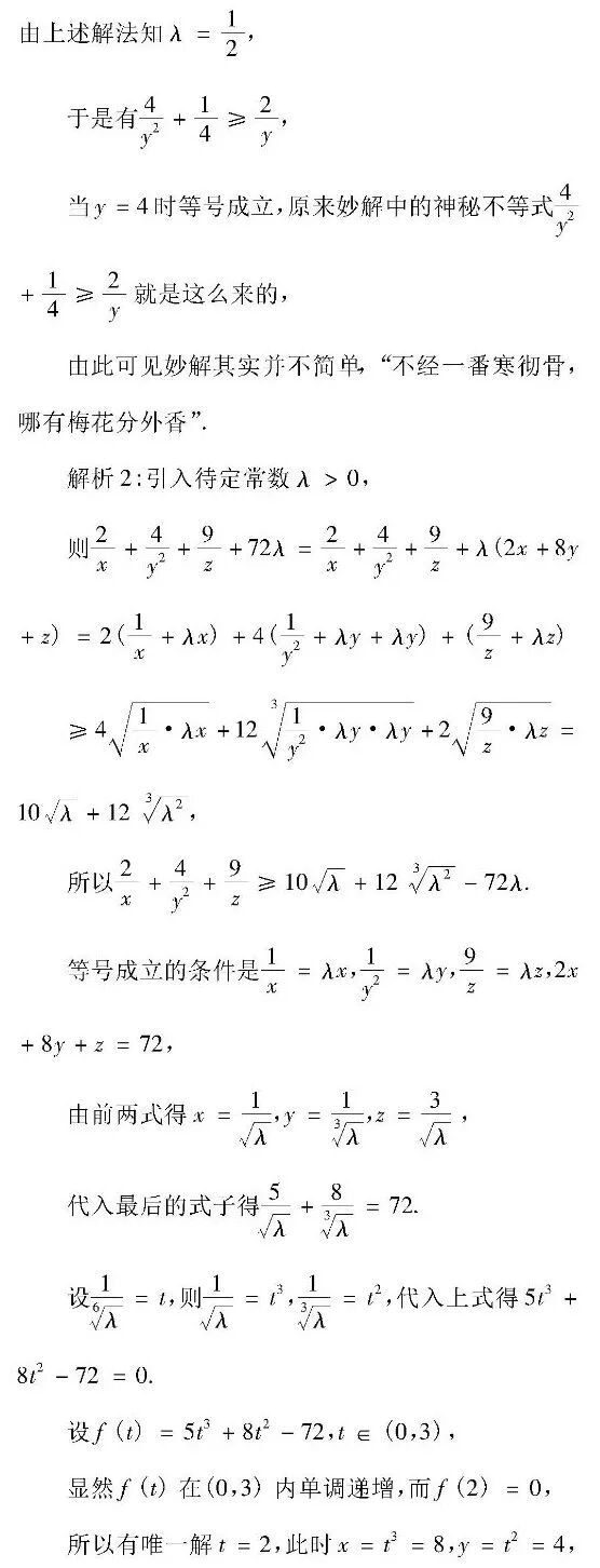
邹生书——一道三元最小值问题的妙解探源与解法探讨

邹生书 邹生书数学