请点击上方蓝色字体“邹生书数学”,订阅本微信公众号;
请点击右上角的“…”,发送给朋友或分享到朋友圈。
公众号“邹生书数学”创建于2018年8月28日。
开号宗旨:为热爱学习和研究的高中数学教师和教研员搭建学习交流平台,提升教学能力,促进专业发展。本公众号致力传播数学文化,发表教研成果,交流教学经验,探讨数学问题,展示解题方法,分享教学资源,为服务高中教学作贡献。
邹生书,男,1962年12月出生,中学数学高级教师。主要从事高中数学教学、高中数学解题研究和探究性学习等。从2007年8月到2018年8月,在《数学通讯》《数学教学》《中学数学》《中学数学教学》等,二十多种学术期刊上发表解题和探究性学习文章300余篇。
公众号“邹生书数学”诚请高中数学教师、教研员和热爱数学的朋友不吝赐稿。来稿请注明真实姓名、工作单位和联系方式,一般只接受word文档格式的电子稿件,文稿请认真审查,防止错漏,文责自负。
投稿邮箱:zoushengshu@163.com;
投稿微信号:13297228197。
本公众号对优秀作者和名师实行“双推学习”,在分享文章的同时推介作者简历,让读者朋友更好的了解作者的研究成果和研究方向,以便进一步研读作者的相关文章。
欢迎转载本公众号文章,转载请注明:
“文章来源:邹生书数学”等字样。
孙丕训,数学特级教师,北京市朝阳区兼职教研员。1970年4月出生,1990年参加工作,已教过14届毕业班。2011年8月被北京市朝阳区人才引进到北京市陈经纶中学任教。曾获黑龙江省模范教师、鸡西市第七批专业技术拔尖人才、省骨干教师、市首届名师、市优秀教师、市百名优秀青年、市课堂教学大赛一等奖、市优秀共产党员、省优质课教师等荣誉称号。多次做朝阳区教材分析和专题讲座,在公开杂志上发表文章十余篇。
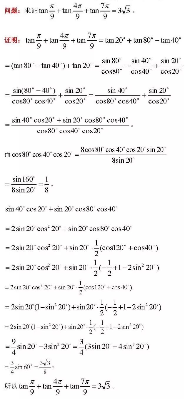
切化弦证明一道正切恒等式
北京市陈经纶中学 孙丕训
解法小结:切式化弦是常见的变形方式,本题切化弦后,注意到结果3倍根号3与60度正弦有关,而式子中的三个角可用诱导公式化成20度40度80度的形式,可用二倍角公式及其它恒等变形,可最终统一成20度的三角形式,利用三倍角公式完成证明。
一气呵成证明孙丕训正切恒等式
潘奕(瑞士莱斯豪尔机床公司)
4月10号“数学解题与写作交流群”北京陈经纶中学特级教师孙丕训给出如下一道三角正切恒等式的证明进行交流,笔者学习了孙老师的解法并对解法作了改进使切化弦的证明过程一气呵成。问题与证法如下:
长按或扫描二维码关注本公众号!