请点击上方蓝色字体“邹生书数学”,订阅本微信公众号;
请点击右上角的“…”,发送给朋友或分享到朋友圈。
公众号“邹生书数学”创建于2018年8月28日。
开号宗旨:为热爱学习和研究的高中数学教师和教研员搭建学习交流平台,提升教学能力,促进专业发展。本公众号致力传播数学文化,发表教研成果,交流教学经验,探讨数学问题,展示解题方法,分享教学资源,为服务高中教学作贡献。
邹生书,男,1962年12月出生,中学数学高级教师。主要从事高中数学教学、高中数学解题研究和探究性学习等。从2007年8月到2018年8月,在《数学通讯》《数学教学》《中学数学》《中学数学教学》等,二十多种学术期刊上发表解题和探究性学习文章300余篇。
公众号“邹生书数学”诚请高中数学教师、教研员和热爱数学的朋友不吝赐稿。来稿请注明真实姓名、工作单位和联系方式,一般只接受word文档格式的电子稿件,文稿请认真审查,防止错漏,文责自负。
投稿邮箱:zoushengshu@163.com;
投稿微信号:13297228197。
本公众号对优秀作者和名师实行“双推学习”,在分享文章的同时推介作者简历,让读者朋友更好的了解作者的研究成果和研究方向,以便进一步研读作者的相关文章。
欢迎转载本公众号文章,转载请注明:
“文章来源:邹生书数学”等字样。
金钟植,1989年毕业于北京师范大学数学系并获得理学士学位。2018年1月被广州市白云区按高层次人才引进,现任教于白云中学,广州市名师工作室主持人,广州市白云区名师工作室主持人。高中数学特级教师(2004年),数学教育界最高奖项——《苏步青数学教育奖》获得者(2008年),东北师范大学硕士生导师(2004年起),北京师范大学讲座教授(2008年至2011年),吉林省首批学科带头人。在各级各类学会曾任理事。在国家级核心期刊《数学通报》、《中学数学教学参考》或国家级刊物发表论文三十余篇,指导中青年教师发表二十多篇。指导青年教师获得全国教学大赛一等奖两人次,省级教学大赛一等奖五人次。带出两名东北师范大学全日制硕士生两名。在国家级、省市级和各类大学、重点中学研讨会或培训中做几十场报告。优秀事迹被收入《辉煌的报告——北京师范大学优秀校友风采》(第一卷)。
金钟植老师的教学理念是:在融通所教学科知识以及学科内蕴含的思想和观念的前提下,以学生终生发展为目的,打造严谨的、有宽度和深度的、有思想和方法的,更应该有人文关怀和情感意识的课堂。作为教师:我希望帮助孩子们在学校能够在身心健康的前提下,提升自身素质。作为数学教师:我希望帮助孩子们通过学习不断提高数学思维能力和综合素质。
利用导数证明不等式的两种通法
金钟植 岳海学
利用导数证明不等式是高考中的一个热点问题,利用导数证明不等式主要有两种通法,即函数类不等式证明和常数类不等式证明。下面就有关的两种通法用列举的方式归纳和总结。
一、函数类不等式证明
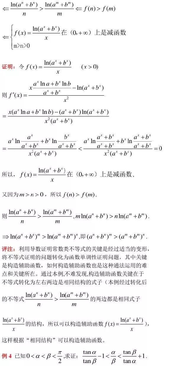
函数类不等式证明的通法可概括为:证明不等式f(x)>g(x)(f(x)<g(x))的问题转化为证明f(x)-g(x)>0(f(x)-g(x)<0),进而构造辅助函数h(x)=f(x)-g(x),然后利用导数证明函数h(x)的单调性或证明函数h(x)的最小值(最大值)大于或等于零(小于或等于零)。
注:此文于2007年7月发表在国家级刊物《高中数理化》上
长按或扫描二维码关注本公众号!
作者近斯文章链接