请点击上方蓝色字体“邹生书数学”,订阅本微信公众号;
请点击右上角的“…”,发送给朋友或分享到朋友圈。
公众号“邹生书数学”创建于2018年8月28日。
开号宗旨:为热爱学习和研究的高中数学教师和教研员搭建学习交流平台,提升教学能力,促进专业发展。本公众号致力传播数学文化,发表教研成果,交流教学经验,探讨数学问题,展示解题方法,分享教学资源,为服务高中教学作贡献。
邹生书,男,1962年12月出生,中学数学高级教师。主要从事高中数学教学、高中数学解题研究和探究性学习等。从2007年8月到2018年8月,在《数学通讯》《数学教学》《中学数学》《中学数学教学》等,二十多种学术期刊上发表解题和探究性学习文章300余篇。
公众号“邹生书数学”诚请高中数学教师、教研员和热爱数学的朋友不吝赐稿。来稿请注明真实姓名、工作单位和联系方式,一般只接受word文档格式的电子稿件,文稿请认真审查,防止错漏,文责自负。
投稿邮箱:zoushengshu@163.com;
投稿微信号:13297228197。
本公众号对优秀作者和名师实行“双推学习”,在分享文章的同时推介作者简历,让读者朋友更好的了解作者的研究成果和研究方向,以便进一步研读作者的相关文章。
欢迎转载本公众号文章,转载请注明:
“文章来源:邹生书数学”等字样。
一道二次根式的化简题与推广拓展
陕西魏拴文 江西黄贤锋 湖北邹生书
这是某中学高一分班考试的一道数学题,咋一看好象无从下手。杭州建兰中学黄帮学老师在《从熟悉的地方入手——以一道二次根式化简题为例》给出了一个解法,下面我们给出一个以退为进的解法并对问题作一般性的推广,与大家交流分享。
1.以退为进化简二次根式(魏拴文提供)
点评:解法注意数字规律,从细微处见精神。以退为进,分合天成,浑然一体,给人以美的享受!
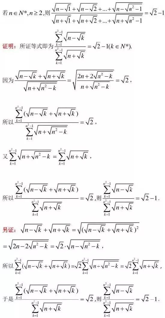
2.一般化推广拓展
陕西魏拴文老师在“数学解题与写作交流群”里给出了上述耐人寻味的解法,新疆谢锋老师点赞解法巧妙,并且指出“感觉结论可以推广”,很快魏拴文老师通过合情推理给出了结论推广。随后,江西黄贤锋老师用魏拴文老师的解法思路从数列求和角度给出了证明。几乎同时,魏拴文老师与编者交流推广是否正确,编者肯定了结论,并给出了与黄老师大同小异的解法。推广与证明如下:
点评:一题多解,从多个角度思考解决问题的方法。推广拓展,用合情推理从特殊到一般从部分到整体。本文从解法中寻找规律,概括归纳出一般性结论,并将解法从数列通项和数列求和角度,即从运动变化的函数思想去思考和解决问题,这样思维层次和思想方法都上了一个台阶,给人一种满载而归的情感体验。如若,只是给出一种解法而止步,则有一种入宝山而空返之遗憾。
相关文章链接
长按或扫描二维码关注本公众号!