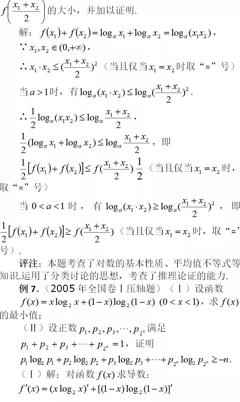
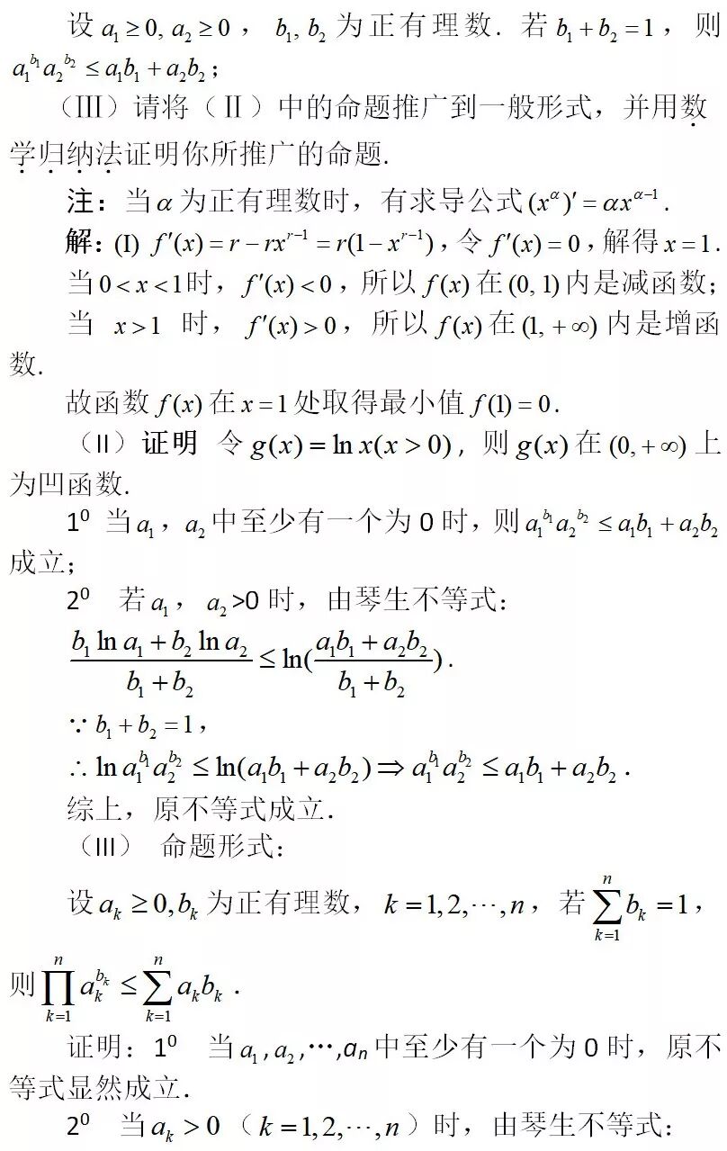
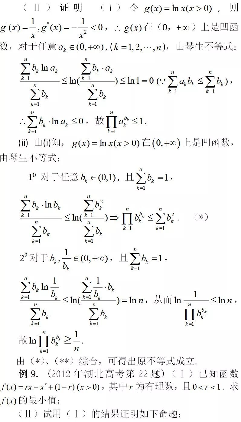
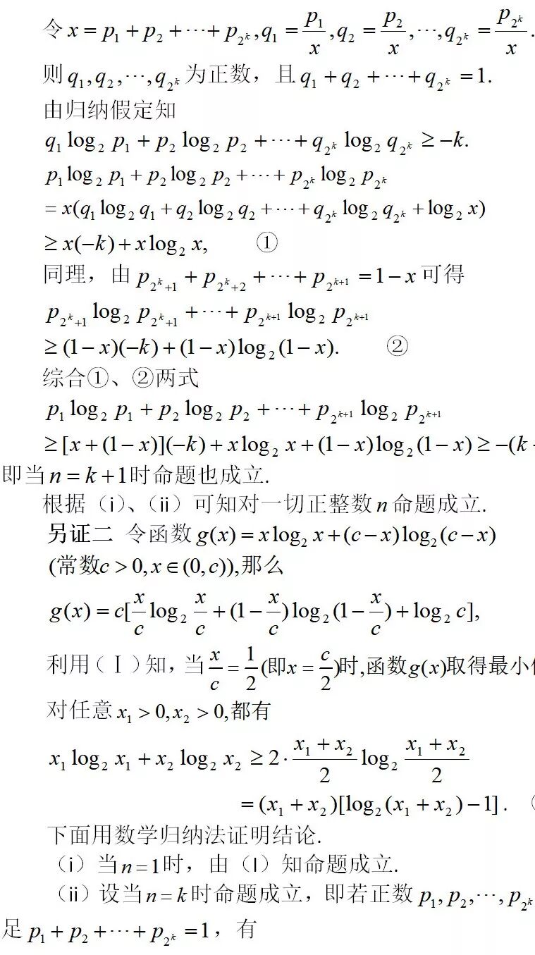
请点击上方蓝色字体“邹生书数学”,订阅本微信公众号;
请点击右上角的“…”,发送给朋友或分享到朋友圈。
公众号“邹生书数学”创建于2018年8月28日。
开号宗旨:为热爱学习和研究的高中数学教师和教研员搭建学习交流平台,提升教学能力,促进专业发展。本公众号致力传播数学文化,发表教研成果,交流教学经验,探讨数学问题,展示解题方法,分享教学资源,为服务高中教学作贡献。
邹生书,男,1962年12月出生,中学数学高级教师。主要从事高中数学教学、高中数学解题研究和探究性学习等。从2007年8月到2018年8月,在《数学通讯》《数学教学》《中学数学》《中学数学教学》等,二十多种学术期刊上发表解题和探究性学习文章300余篇。
公众号“邹生书数学”诚请高中数学教师、教研员和热爱数学的朋友不吝赐稿。来稿请注明真实姓名、工作单位和联系方式,一般只接受word文档格式的电子稿件,文稿请认真审查,防止错漏,文责自负。
投稿邮箱:zoushengshu@163.com;
投稿微信号:13297228197。
本公众号对优秀作者和名师实行“双推学习”,在分享文章的同时推介作者简历,让读者朋友更好的了解作者的研究成果和研究方向,以便进一步研读作者的相关文章。
欢迎转载本公众号文章,转载请注明:
“文章来源:邹生书数学”等字样。
长按或扫描二维码关注本公众号!
杨志明近期高考系列文章链接
伴 菊
本以一身无瑕,不在春宫寻家。
千里枫红无数,这边半厢菊花!
人生如寄,谁有来日方长;昭华易逝,转眼就是黄昏。等待太久,所有的专注,便是回忆的疼痛;用情太浓,所有的热烈,即成生活的阴影。别在秋风中,留恋春天的花朵;莫在夜色中,寻找太阳的光芒。目标,从梦想开始;幸福,在心态把握。
迎国庆
自信梦圆双百年,五星照耀正中天。
中华崛起东升日,引领潮流世界先。
人到了一定的年龄,就会越活越明白,开始学会往回收了,尽量把生活过成自己想要的样子,开始学会照顾到自己的一颗心,不再被他人的言行所左右,多了一份简单岁月的纯朴,沧桑后的成熟,和荣辱不惊的坦然。
烈士日
以身许国报黎元,热血红旗映魄魂。
烈士永垂功不朽,丰碑高筑天安门。
2019年9月30日,中华人民共和国的烈士纪念日。在祖国七十华诞来临前昔,让我们向所有为中华民族英勇献身的英烈们致敬!革命烈士永垂不杇!
(以上诗文由汪跃中老先生提供)