请点击上方蓝色字体“邹生书数学”,订阅本微信公众号;
请点击右上角的“…”,发送给朋友或分享到朋友圈。
公众号“邹生书数学”创建于2018年8月28日。
开号宗旨:为热爱学习和研究的高中数学教师和教研员搭建学习交流平台,提升教学能力,促进专业发展。本公众号致力传播数学文化,发表教研成果,交流教学经验,探讨数学问题,展示解题方法,分享教学资源,为服务高中教学作贡献。
邹生书,男,1962年12月出生,中学数学高级教师。主要从事高中数学教学、高中数学解题研究和探究性学习等。从2007年8月到2018年8月,在《数学通讯》《数学教学》《中学数学》《中学数学教学》等,二十多种学术期刊上发表解题和探究性学习文章300余篇。
公众号“邹生书数学”诚请高中数学教师、教研员和热爱数学的朋友不吝赐稿。来稿请注明真实姓名、工作单位和联系方式,一般只接受word文档格式的电子稿件,文稿请认真审查,防止错漏,文责自负。
投稿邮箱:zoushengshu@163.com;
投稿微信号:13297228197。
本公众号对优秀作者和名师实行“双推学习”,在分享文章的同时推介作者简历,让读者朋友更好的了解作者的研究成果和研究方向,以便进一步研读作者的相关文章。
欢迎转载本公众号文章,转载请注明:
“文章来源:邹生书数学”等字样。一道向量难题的两思路四解法
江苏省泰州姜堰中学 钱厚德
福建厦门易思数学 叶超杰
浙江平阳中学 洪一平
湖北省阳新县高级中学 邹生书编辑整理
点评:上述三种解法根据向量的有关知识充分利用向量的几何特征,将问题转化为直观的几何图形来解决。三种解法综合性强,综合运用了向量、三角、解析几何等有关知识。三种解法大同小异,法1是将已知三角等式变成余弦形式,然后利用余弦定理求解,解法涉及分类讨论,运算量较大;法2是将已知三角等式变成正弦形式,然后利用正弦定理求解;法3是在法2的基础上挖掘利用正弦定理所得等式PA+PB=4的几何意义,用运动变化的思想让点动起来,构造椭圆,然后用直线与椭圆的位置关系求最小值,解法形象直观。
思路二:用向量的代数特征,将问题用坐标法求解
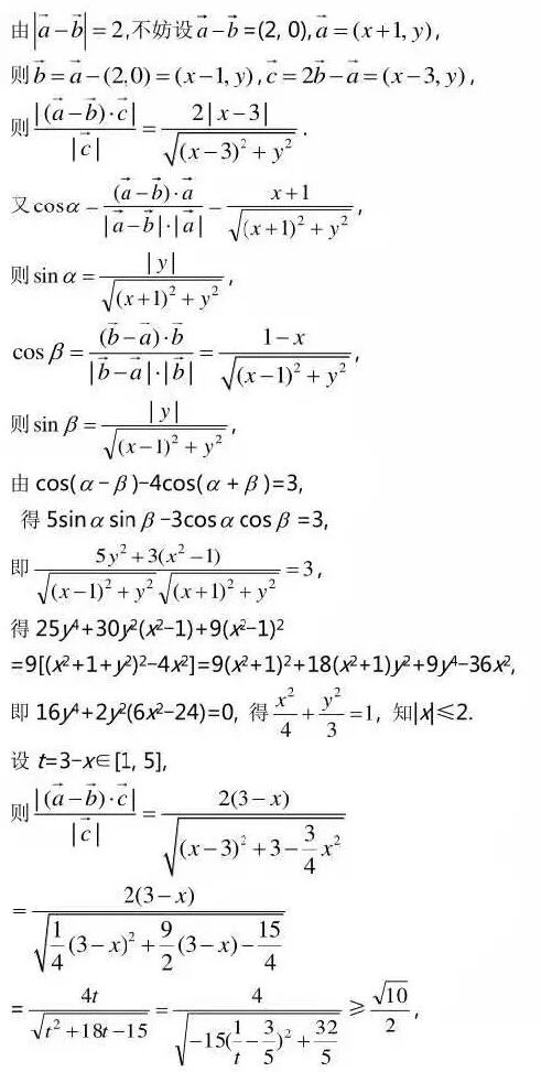
解法4:(巧设向量坐标,将向量问题转化为纯代数问题求解 洪一平提供)
点评:本解法用坐标化的方法来解决此问题的关键,是根据题设条件巧设向量a,b的坐标,从而将向量问题转化为坐标运算求解,实现向量问题代数化。
【小结】向量集数与形于一身,是数形结合的良好素材。本题是一道以向量为载体的最值问题,根据向量的数形结合的双重特性,因此解决本题有两条件思路方向,一是充分利用向量的几何特征,将问题转化为几何问题来解决,这种解法往往综合性强,本题综合运用了向量、三角、解析几何等有关知识,对思维能力要求较高;二是根据题意巧设向量坐标,将问题问题转化为向量的坐标运算来处理,实现向量问题代数化,解法干净利落,该解法对化归转化和运算求解能力有相当高的要求。本题是一道考查分析问题和解决问题能力,考查数学综合素质和数学素养的难得好题。佳题共分享,解法相如析。
长按或扫描二维码关注本公众号!
作者近期文章链接
邹生书——2019年全国高中数学联合竞赛A卷第10题的三种求解视角
秋 兴
倚阁听秋雨,开户赏新晴。
推窗听鸟唱,寻味桂香生。
(以上诗文由汪跃中老先生提供)