请点击上方蓝色字体“邹生书数学”,订阅本微信公众号;
请点击右上角的“…”,发送给朋友或分享到朋友圈。
公众号“邹生书数学”创建于2018年8月28日。
开号宗旨:为热爱学习和研究的高中数学教师和教研员搭建学习交流平台,提升教学能力,促进专业发展。本公众号致力传播数学文化,发表教研成果,交流教学经验,探讨数学问题,展示解题方法,分享教学资源,为服务高中教学作贡献。
邹生书,男,1962年12月出生,中学数学高级教师。主要从事高中数学教学、高中数学解题研究和探究性学习等。从2007年8月到2018年8月,在《数学通讯》《数学教学》《中学数学》《中学数学教学》等,二十多种学术期刊上发表解题和探究性学习文章300余篇。
公众号“邹生书数学”诚请高中数学教师、教研员和热爱数学的朋友不吝赐稿。来稿请注明真实姓名、工作单位和联系方式,一般只接受word文档格式的电子稿件,文稿请认真审查,防止错漏,文责自负。
投稿邮箱:zoushengshu@163.com;
投稿微信号:13297228197。
本公众号对优秀作者和名师实行“双推学习”,在分享文章的同时推介作者简历,让读者朋友更好的了解作者的研究成果和研究方向,以便进一步研读作者的相关文章。
欢迎转载本公众号文章,转载请注明:
“文章来源:邹生书数学”等字样。
![]()
![]()
运用解析几何中一些常用定义(例如圆,椭圆,双曲线和抛物线),可从曲线定义出发直接写出轨迹方程,或从曲线定义出发建立关系式,从而求出轨迹方程。②椭圆:到两定点的距离之和为常数(大于两定点的距离)③双曲线:到两定点距离之差的绝对值为常数(小于两定点的距离)例题:已知圆(x+4)2+y2=25的圆心为M1,圆(x-4)2+y2=1的圆心为M2,一动圆与这两个圆外切,求动圆圆心P的轨迹方程。![]()
![]()
备注:算出轨迹方程之后,要结合题意,注明变量x,y的范围变式1:一动圆M与圆O1:x2+y2=1外切,而与圆O2:x2+y2-6x+8=0内切,那么动圆圆心M的轨迹方程。变式2:若B(-8,0),C(8,0)为△ABC的两顶点,AC和AB两边上的中线长之和为30,求△ABC的重心轨迹方程。![]()
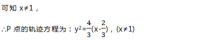
如果动点运动的条件就是一些几何量的等量关系(几何、三角或者向量表达式等),这些条件简单明确,易于表述成含x,y的等式,就得到轨迹方程,这种方法称之为直接法。例题:动点P到两个定点A(-3,0)和B(3,0)的距离之比等于2,即│PA│: │PB│=2:1,求动点P的轨迹方程。![]()
变式1:点M(x,y)到直线x=8的距离和它到定点F(1,0)的距离的比为2,则求动点M的轨迹方程。变式2:分别过A1(-1,0),A2(1,0)作两条互相垂直的直线,则求它们的交点M的轨迹方程。
![]()
若所求的轨迹满足某些几何性质(如直线垂直,线段垂直平分线,角平分线,直角三角形斜边中线等于斜边一半等),可以列出几何等式,再带入点坐标求出轨迹方程,这种方法被称为几何法。例题:过点P(2,4)做两条互相垂直的直线L1,L2,若L1交x轴于A点,L2交y轴于B点,求线段AB的中点M的轨迹方程。![]()
变式:过圆O:x2+y2=4外一点A(4,0),作圆的割线,求割线被圆截的的弦BC中点M的轨迹方程。
![]()
动点所满足的条件不易表述或求出,但形成轨迹的动点P(x,y)却随另一动点Q(x0,y0)的运动而有规律的运动,且动点Q的轨迹为给定或容易求得,则可先将x0,y0表示为x,y的式子,再代入Q的轨迹方程,然而整理得P的轨迹方程,称为相关点法。② 设点Q的坐标为(x0,y0),且有F(x0,y0)=0;③ 动点P随着点Q有规律的运用可得:x0=f(x,y),y0=g(x,y);④ 把x0=f(x,y),y0=g(x,y)带入F(x0,y0)=0,即可求出点P的轨迹方程。例题:抛物线y2=4x的通径与抛物线交于A、B两点,动点C在抛物线上,求△ABC重心P的轨迹方程。![]()
![]()
变式1:从双曲线x2-y2=1上一点Q引直线x+y=2的垂线,垂足为N,求线段QN的中点P的轨迹方程。
变式2:设点M(-3,4),动点N在圆x2+y2=4上运动,以OM,ON为两边作平行四边形MONP,求点P的轨迹方程。
![]()
有时很难直接找出动点的横、纵坐标之间关系。如果借助中间量(参数),使x,y之间的关系建立起联系,然后再从所求式子中消去参数,便可得动点的轨迹方程,这种方法被称作参数法。例题:过点A(0,1)做直线L与抛物线:x2=4y交于D,E两点,O为坐标原点,求△ODE的重心G的轨迹方程。![]()
![]()
变式:设抛物线y2=4x的准线为L,焦点为F,顶点为O,P为抛物线上任意一点,又PQ⊥L,Q为垂足,求QF与OP的交点M的轨迹方程。
![]()
若设直线与圆锥曲线的交点坐标为A(x1,y1)、B(x2,y2),将这两点带入圆锥曲线的方程并对所得两式做差,得到一个与弦AB的中点和斜率有关的式子,可以大大减少运算量。我们称这种带点做差的方法为“点差法”。点差法对于解决弦中点轨迹问题非常有效。例题:求抛物线y2=4x的过焦点F的弦的中点M的轨迹方程。![]()
![]()
![]()
变式:过原点的直线L和抛物线y=x2-4x+6交于A、B两点,求线段AB的中点M的轨迹方程。
![]()
在求动点轨迹时,有时会出现要求两动曲线交点的轨迹问题,这种问题通常通过解方程组得出交点(含参数)的坐标,再消去参数求得所求的轨迹方程,该法通常与参数法同时使用。①根据题意已知动曲线F(x,y)=0和动曲线G(x,y)=0相交于点P,设动点P的坐标为(x,y)②将F(x,y)=0与G(x,y)=0联立,求得交点坐标即可。备注:得到的交点坐标通常含有参数,还会有一个消参的过程。例题:如图,已知抛物线C:y=x2,动点P在直线L:x-y-2=0上运动,过点P作抛物线C的两条切线PA,PB,且与抛物线C分别相切于A、B两点,求△APB的中心G的轨迹方程。![]()
![]()
变式:已知椭圆:x2/3+y2/2=1的左,右焦点分别为F1和F2,直线L1过F2且与x轴垂直,动直线L2与y轴垂直,L2交L1于点P。求线段PF1的垂直平分线与直线L的交点M的轨迹方程.文章转自:高中数学王晖
![]()
长按或扫描二维码关注本公众号!
![]()
立 冬
立冬落叶黄,寒雨慢敲窗。
风起路边舞,初雪兆北疆。
再荒凉的季节,都不要忘记,开在心中的花朵,永远不会凋零;再困难的时候,都要记住,最美的永恒,从来不会,向命运妥协。命运,从来不会,厚此薄彼,无论是谁,只有经过,风雨中的前行,才有岁月的阳光,拥有着红尘的深情与温暖;只有走过,一路山高水长,才有季节的灿烂,绽放一树,美好和安宁。