请点击上方蓝色字体“邹生书数学”,订阅本微信公众号;
请点击右上角的“…”,发送给朋友或分享到朋友圈。
公众号“邹生书数学”创建于2018年8月28日。
开号宗旨:为热爱学习和研究的高中数学教师和教研员搭建学习交流平台,提升教学能力,促进专业发展。本公众号致力传播数学文化,发表教研成果,交流教学经验,探讨数学问题,展示解题方法,分享教学资源,为服务高中教学作贡献。
邹生书,男,1962年12月出生,中学数学高级教师。主要从事高中数学教学、高中数学解题研究和探究性学习等。从2007年8月到2018年8月,在《数学通讯》《数学教学》《中学数学》《中学数学教学》等,二十多种学术期刊上发表解题和探究性学习文章300余篇。
公众号“邹生书数学”诚请高中数学教师、教研员和热爱数学的朋友不吝赐稿。来稿请注明真实姓名、工作单位和联系方式,一般只接受word文档格式的电子稿件,文稿请认真审查,防止错漏,文责自负。
投稿邮箱:zoushengshu@163.com;
投稿微信号:13297228197。
本公众号对优秀作者和名师实行“双推学习”,在分享文章的同时推介作者简历,让读者朋友更好的了解作者的研究成果和研究方向,以便进一步研读作者的相关文章。
欢迎转载本公众号文章,转载请注明:
“文章来源:邹生书数学”等字样。
一道背景深厚的椭圆离心率难题及其解法研究
湖北省阳新县高级中学 邹生书
在数学群里探讨数学问题及其解法的好处是显然易见的,大家可以相互鼓励,相互激发,相互启迪,充分发挥集体的智慧和力量,有时可以在短时间内通过讨论全面彻底地解决问题。
最近一道椭圆离心率难题在“高中数学解题交流二群”引起了群友们的热烈讨论,纷纷抛出对该题的解法进行交流,前面群友先发出的解法对后面群友的求解有启发和借鉴作用。
这道椭圆离心率难题,通过集体研讨,解法越来越简单,而问题的本质也伴随着讨论渐渐地浮出水面。
笔者根据群友们的解法及个人的理解作了一些梳理和背景挖掘,问题及解法和背景探究如下:
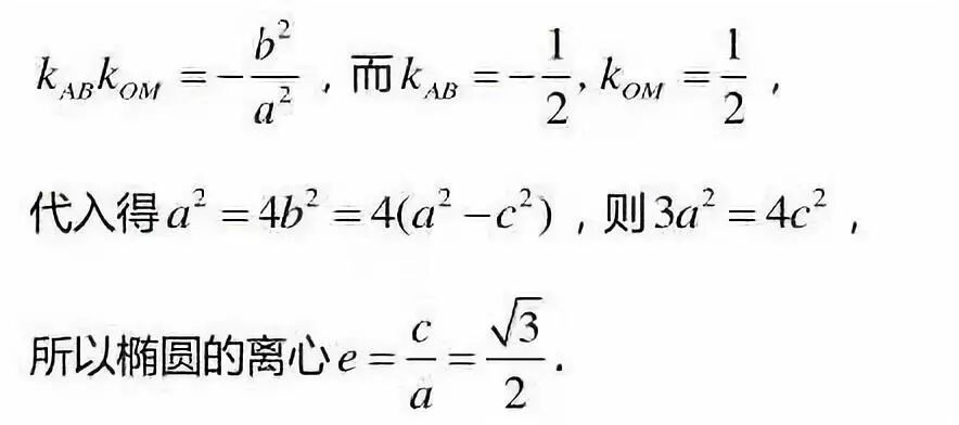
问题解决到此已经几近完美了。但是,这是一道选择题,显然这些解法都显得小题大做费时耗力,不符合小题巧做的解题原则,那么能否小题巧做?要小题巧做,我们就必须弄清命题意图,命题者到底在考查什么,问题的本质是什么?
由解法2可知,这个问题的本质就是椭圆共轭直径的性质。
连结椭圆上任意两点的线段叫弦,过椭圆中心的弦叫直径。平行于直径DE的弦的中点的轨迹 AB 和直径 DE 互为共轭直径。
椭圆的任一条直径必平分其共轭弦。椭圆的共轭直径有无数对。
当一对共轭直径互相垂直时,即为椭圆的长轴和短轴。
椭圆共轭直径(弦)有如下性质:
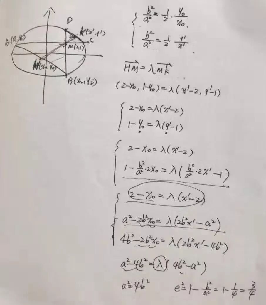
下面我们回到原问题,挖掘条件背后隐藏的东西,给出一个极限解法。注意到题设条件中向量等式中的系数不等于1,为什么不能等于1?这一条件隐藏什么秘密?等于1会怎样?会发生什么?当系数等于1时,点M为弦AC和BD的中点,而在椭圆中以M为中点的弦有且只有一条。也就是说当系数趋向于1时,弦AC和BD趋向于重合。两弦重合时,点M也是AB的中点,根据上述共轭直径(弦)的性质有:
群研——让解法由繁到简,
让问题本质逐渐显露出来
——对一道椭圆离心率试题的解法探究
高中数学解题交流二群
长按或扫描二维码关注本公众号!
近期好文荐读:
一生只有43年,喜欢泡妹打架,却凭借一篇文章震惊世界,跻身一流数学家
史上最变态高考数学题,让99%的考生献上膝盖,看完我惊了......
魏立国——不等式e^x ≥ x+1和+ln(x+1)≤X的应用
【博学多才】筷子夹汤圆,夹出一个美丽的"蒙日圆",真是太神奇了!!!
【美不胜收】求解动点轨迹方程的的七种解法------全方位,无死角!!!
洪一平、 杨飞、邹生书——解答一道以椭圆为载体的轨迹方程与面积最值征解难题
单壿、石中海、赵春等:一道莫斯科绝对值最小值高考题的解法研究文章荟萃