请点击上方蓝色字体“邹生书数学”,订阅本微信公众号;
请点击右上角的“…”,发送给朋友或分享到朋友圈。
公众号“邹生书数学”创建于2018年8月28日。
开号宗旨:为热爱学习和研究的高中数学教师和教研员搭建学习交流平台,提升教学能力,促进专业发展。本公众号致力传播数学文化,发表教研成果,交流教学经验,探讨数学问题,展示解题方法,分享教学资源,为服务高中教学作贡献。
邹生书,男,1962年12月出生,中学数学高级教师。主要从事高中数学教学、高中数学解题研究和探究性学习等。从2007年8月到2018年8月,在《数学通讯》《数学教学》《中学数学》《中学数学教学》等,二十多种学术期刊上发表解题和探究性学习文章300余篇。
公众号“邹生书数学”诚请高中数学教师、教研员和热爱数学的朋友不吝赐稿。来稿请注明真实姓名、工作单位和联系方式,一般只接受word文档格式的电子稿件,文稿请认真审查,防止错漏,文责自负。
投稿邮箱:zoushengshu@163.com;
投稿微信号:13297228197。
本公众号对优秀作者和名师实行“双推学习”,在分享文章的同时推介作者简历,让读者朋友更好的了解作者的研究成果和研究方向,以便进一步研读作者的相关文章。
欢迎转载本公众号文章,转载请注明:
“文章来源:邹生书数学”等字样。
立体几何最值问题的求解策略
湖北省阳新县高级中学 邹生书
文章发表于《中小学数学》2008年第7—8期
综观近几年高考模拟题和高考试题, 最值问题从题型来看, 既有选择填空题,也有解答题从考查的载体来看, 主要是将最值问题蕴含在立体几何和解析几何中进行考查本文结合典型例题, 谈谈立体几何最值问题的求解策略, 供大家参考。
策略一、运动变化 动中寻静
根据问题特点, 设法让图形“ 动” 起来, 使图形作相对运动, 再静观其变, 动中寻静, 寻求解决问题的突破口和切人点。
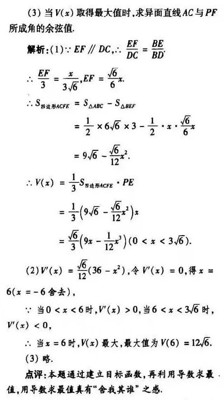
综上可知,立体几何的最值问题属于“动态几何”问题,与几何图形的性质相关,通常对几何图形作相对运动,动静结合,动中取静,寻求解决问题的突破口和切入点;也可将立体图形作翻折、平移、旋转、侧面展开等几何变换,将立体几何问题转化为平面几何问题,化空间为平面,化折为直;还可构造几何模型,化生为熟;又可建立目标函数,转化为函数的最值问题,特别是导数的引入使最值问题的解决有了新的活力,导数法求最值成最近几年高考命题的又一热点和亮点。
长按或扫描二维码关注本公众号!
近期好文荐读:
一位高三家长的演讲火了!人生很长,不必慌张。你未长大,我要担当。
一生只有43年,喜欢泡妹打架,却凭借一篇文章震惊世界,跻身一流数学家
史上最变态高考数学题,让99%的考生献上膝盖,看完我惊了......
魏立国——不等式e^x ≥ x+1和+ln(x+1)≤X的应用
【博学多才】筷子夹汤圆,夹出一个美丽的"蒙日圆",真是太神奇了!!!
【美不胜收】求解动点轨迹方程的的七种解法------全方位,无死角!!!
洪一平、 杨飞、邹生书——解答一道以椭圆为载体的轨迹方程与面积最值征解难题
单壿、石中海、赵春等:一道莫斯科绝对值最小值高考题的解法研究文章荟萃