请点击上方蓝色字体“邹生书数学”,订阅本微信公众号;
请点击右上角的“…”,发送给朋友或分享到朋友圈。
公众号“邹生书数学”创建于2018年8月28日。
开号宗旨:为热爱学习和研究的高中数学教师和教研员搭建学习交流平台,提升教学能力,促进专业发展。本公众号致力传播数学文化,发表教研成果,交流教学经验,探讨数学问题,展示解题方法,分享教学资源,为服务高中教学作贡献。
邹生书,男,1962年12月出生,中学数学高级教师。主要从事高中数学教学、高中数学解题研究和探究性学习等。从2007年8月到2018年8月,在《数学通讯》《数学教学》《中学数学》《中学数学教学》等,二十多种学术期刊上发表解题和探究性学习文章300余篇。
公众号“邹生书数学”诚请高中数学教师、教研员和热爱数学的朋友不吝赐稿。来稿请注明真实姓名、工作单位和联系方式,一般只接受word文档格式的电子稿件,文稿请认真审查,防止错漏,文责自负。
投稿邮箱:zoushengshu@163.com;
投稿微信号:13297228197。
本公众号对优秀作者和名师实行“双推学习”,在分享文章的同时推介作者简历,让读者朋友更好的了解作者的研究成果和研究方向,以便进一步研读作者的相关文章。
欢迎转载本公众号文章,转载请注明:
“文章来源:邹生书数学”等字样。
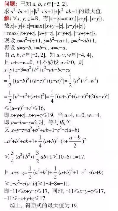
再解2013年哈萨克斯坦奥林匹克
最大值问题
浙江省平阳中学 洪一平
看到了熊昌进老师最近发在微信公众号邹生书数学的这个老问题的解答及张云华老师的解答, 本人觉得还可以再从一个新的思考角度来解答这个问题, 可以达到尽量少分类讨论, 同时消除去绝对值后附加条件的限制.
相关文章链接:
视频欣赏:《吉林雾凇 碧玉琼花》 提供:张靖华
长按或扫描二维码关注本公众号!
近期好文荐读:
经典回顾——1978年与1979年的全国高考数学理科试卷~做做看,你能考多少分?
曹凤山:年年考向量 岁岁数与形 ———浙江省自主命题以来向量试题特点评析
教育厅新规: 高中禁止一切补课, 晚10点必须熄灯...但是高考会更轻松吗?
一位高三家长的演讲火了!人生很长,不必慌张。你未长大,我要担当。
一位高三家长的演讲火了!人生很长,不必慌张。你未长大,我要担当。
一生只有43年,喜欢泡妹打架,却凭借一篇文章震惊世界,跻身一流数学家
史上最变态高考数学题,让99%的考生献上膝盖,看完我惊了......
魏立国——不等式e^x ≥ x+1和+ln(x+1)≤X的应用
【博学多才】筷子夹汤圆,夹出一个美丽的"蒙日圆",真是太神奇了!!!
【美不胜收】求解动点轨迹方程的的七种解法------全方位,无死角!!!
洪一平、 杨飞、邹生书——解答一道以椭圆为载体的轨迹方程与面积最值征解难题
单壿、石中海、赵春等:一道莫斯科绝对值最小值高考题的解法研究文章荟萃