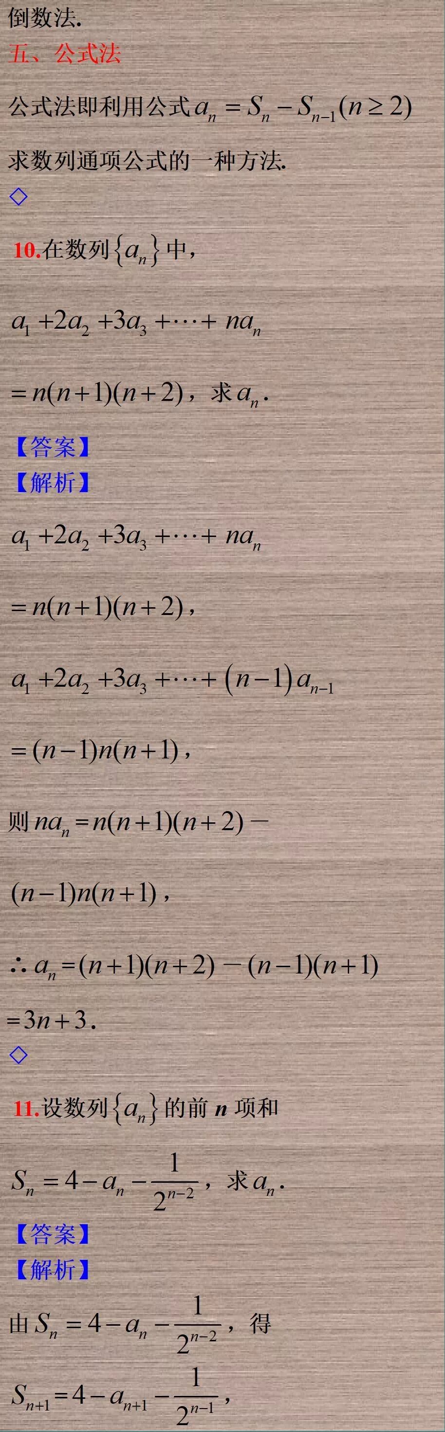
数列通项公式的十二种求法

钟宏亮 邹生书数学