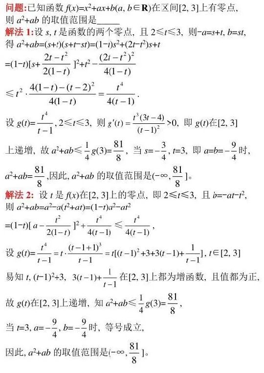
二次函数在区间上有零点求参数代数式
取值范围
浙江省平阳中学 洪一平
长按或扫描二维码关注本公众号!
高中数学视频链接:
近期好文荐读:
曾蓉——轨迹法突破一类解三角形面积最值问题之二 原来也有“圆”
曹凤山:年年考向量 岁岁数与形 ———浙江省自主命题以来向量试题特点评析
魏立国——不等式e^x ≥ x+1和+ln(x+1)≤X的应用
【博学多才】筷子夹汤圆,夹出一个美丽的"蒙日圆",真是太神奇了!!!
【美不胜收】求解动点轨迹方程的的七种解法------全方位,无死角!!!
洪一平、 杨飞、邹生书——解答一道以椭圆为载体的轨迹方程与面积最值征解难题
单壿、石中海、赵春等:一道莫斯科绝对值最小值高考题的解法研究文章荟萃