放缩法取点与洛必达法则的比较
重庆南开(融侨)中学 杨 飞
一、放缩法取点
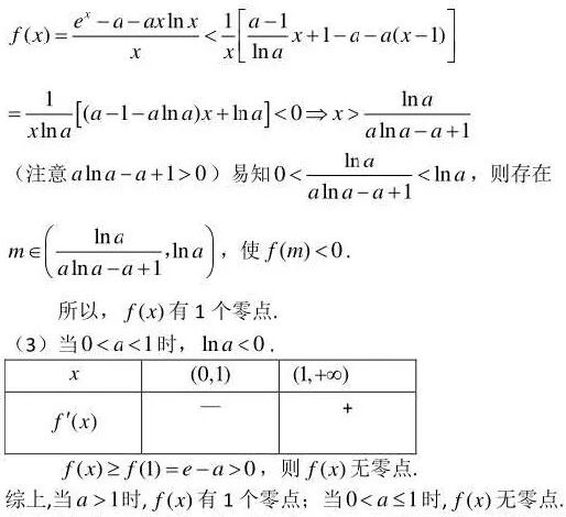
根据零点存在定理,必须确定两个点的函数值的符号。在导数压轴题中,有一类问题需要“找点定正负”,对于含参数的超越函数,究竟找哪个点确实有一定难度。目前流行的方法是通过放缩法将超越函数转化为容易“找点定正负”的简单函数。下面举例说明:
从上述解答可以看出,主要针对ex和lnx进行反说,其放缩法思路有一下四种。
1.泰勒公式放缩思路
从上述两个例题看出,利用放缩法转化为简单函数取点,灵活多变,计算复杂,过程冗长。既不利于教师教学,也不便于学生学习。对此我们试一试洛必达法则。
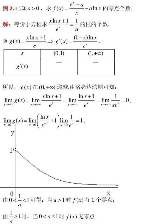
二、洛必达法则的应用
下面我们针对例2进行说明:
比较上述两种解题思路,从解题思路方面看,洛必达法则朴素简单,没有放缩法那样灵活;从运算角度看,洛必达法则简单快捷。由此可见,洛必达法则既经济又实惠,我们主张中学教学中补充洛必达法则,即使部分阅卷人不给满分,也是划算的作法。
作者近期文章链接:杨飞——八丈金仙(故事数学系列)
长按或扫描二维码关注本公众号!