对一道二次根式线性和取值范围问题
的解法再探讨
浙江省平阳中学 洪一平
![]()
3月3日在“高中数学解题交流二群”有群友提出了上面问题, 很快有老师利用阿氏圆得到S的最小值为2.5, 但被最大值难住了, 本人在此数形结合, 希望利用椭圆的定义和几何性质以求得S的最大值, 但过程中会出现4次的高阶方程, 借助几何画板对此方程作了一点定量探索, 提出一个检
验算法, 明确问题的困难所在, 得出明确的结论, 最终确认能找出精确的最大值的表达式是中大奖的概率, 说明瞎编类似的问题有时是可能找不到精确的答案的, 此题应只求最小值为佳. 过程中若通过编程实现验证更高效.
![]()
为了求得最大值, 为此作出以A, B为焦点的长轴长为2a的椭圆并与圆C内切于点N(m, n), 此时S=4a=2(|NA|+|NB)取得最大值. 此举关键在于求出点N的坐标. 由于内切, 圆与椭圆有相同的公切线, 由圆的性质知NC是公切线的垂线, 由椭圆的几何性质可知射线NC是ÐANB的角平分线.
![]()
![]()
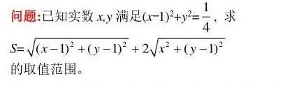
利用几何画板可知该四次方程只有异号的两实根n1=-0.428, n2=0.2134.按照多项式相关的知识可知f(n)可分解为两个二次多项式的乘积, 如果这两个二次多项式是整系数的话, 问题就好办了, 为此, 尝试如下的待定系数法,
![]()
但经过遍历所有的情况, 这个判断条件都不成立, 由此断定这两个二次多项式的系数不可能都是整数的, 这说明方程获得解决的概率是中大奖的概率. 至此, S的最大值可用N(1.25848, -0.428)代入得近似值为5.258, 这个近似值也可利用下面的三角函数来求得.
![]()
此处若想利用待定系数的柯西不等式两次, 将会产生待定系数的六次方程, 仍然不好解决.经常可以看到一些类似的问题, 由于问题中给出的数据不是很友好, 那么由问题产生的绕不过去的高级方程将是不可逾越的障碍。
![]()
长按或扫描二维码关注本公众号!
高中数学视频链接:
1.2004-2019高考真题视频讲解合集
2.完全免费||高二数学学习授课视频精选
3.完全免费||高考数学优秀视频课程线上学习合集
4.免费学习||高考数学在线课堂十三个专题视频合集
近期好文荐读:
我的处女作——优化解题过程 避免分类讨论
经典题型||动点在定圆上的线段线性和最值问题及其解法
熊昌进:数学教学我们永远在路上——从学生的思维出发进行教学指导一例
刘宜宾、邹生书——对一道抛物线调研试题的推广探究
杨飞——放缩法取点PK洛必达法则
邹生书——三角形射影定理的多证与妙用
高考专题突破——三角函数图像性质与解三角形问题
对一道求不出准确最小值三角问题的修改及解法探究
一篇文章给高中生讲清楚洛必达法则
直线恒过定点存在性探索题的几个新解法(包含二级结论秒杀法)
运用泰勒展开式求解高考数学函数压轴题
类比推理——等比数列是等差数列运算的升级
等比数列知识点总结与七大经典题型归纳
等差数列知识点总结+题型归纳+习题精选(含习题答案)
【历久弥新】圆锥曲线离心率求解的九大经典模型
数列通项公式的十二种求法
概率统计考点,这或许是你见过的最全面解析!!!
排列组合问题的题型分类和九种求解方法
用“层次对称”破解四个二次根式线性和最小值问题
一网打尽||外接球和内切球半径求解策略
舒云水——“火神山”和“雷神山”平面几何姐妹题
几道网红错题——是抄错还是出错?错题害死做题人!
邹生书——递推数列周期性问题的求解策略
活用“龙凤不等式”和变量替换解函数压轴题
曾蓉——轨迹法突破一类解三角形面积最值问题之二 原来也有“圆”
与椭圆直径相关的一个性质及其应用
曾蓉——轨迹法处理一类解三角形最值问题之一 阿波罗尼斯圆
赵忠华——一道联考题的八种解法
麻雀虽小 五脏俱全 题目不难 解法多多 ——好题佳解
洪一平——山西八校联考向量数量积最大值试题的五种解法
二面角,你是不是想的太简单了点!
免费学习||高考数学在线课堂十三个专题视频合集
杨俊——构造函数,巧解函数导数的不等式之二
邹生书——二元二次方程条件下的最值题型分类与解法
【见微知著】三角形“四心”的向量情结
邹生书——复合三角函数中w的取值范围问题及其解法
杨俊——椭圆上一点到定点的距离最值的问题
邹生书——极化等式举旗开道 几何性质保驾护航
2019年上海高考数学第11题不同解法及索源
关仲卿——解密含有a+b+c=1的条件不等式的证明
张长新、邹生书——同题异构三解一道指对混合超越方程试题
邹生书——运用对数平均不等式破解函数双零点问题
八仙过海||群解一道椭圆离心率征解难题
是时候给三角形的“四心”做个了结了
郭学锋:错题错解——反思改编——探究多解
王小国——分类解析同构意识在解题中的应用
先猜后证——探究圆锥曲线的一个定点和定值问题
邹庆榕:追根溯源——— 数列的周期是如何形成的?
一类最值问题的巧思与妙解
设一个好方程 事半功倍
邹生书——高考数列中的最值问题及其求法
掀起你的盖头来——几道难得的函数方程问题
万志红:一道向量数量积问题的多种解法
邹生书——选好“模特儿”“秒杀”抽象函数不等式问题
探讨高考数学命题人如何编定 概率统计的试题(下)
常考点——巧构函数处理抽象函数不等式问题探究
从求解过程看高考解答题中压轴题的求解策略
曹凤山——关注焦点 优化解题
曹凤山——导数问题中的“合二为一”与“一分为二”
曹凤山:讲好数字背后的故事 — —解题教学的一项基本功
曹凤山:年年考向量 岁岁数与形 ———浙江省自主命题以来向量试题特点评析
王信元——台湾高雄中学一道小巧玲珑的圆锥曲线试题及解答
邹生书——多变量问题选择主元的四种方法
2019高考优秀模拟试卷理科数学试题解析
万尔遐、汪跃中——探讨高考数学命题人如何编定概率统计的试题
点差法与向量联手简解中点弦问题
立体几何最值问题的求解策略
求二项展开式系数最值项的一种方法
八个无敌模型——全搞定空间几何的外接球和内切球问题!
曾蓉——巧用投影,妙解向量数量积
运用"矩形大法"解两道向量模取值范围问题
邹生书——利用动直线恒过定点优化解题过程
单墫——谈数学学习与解题
邹生书——例谈椭圆双曲线离心率取值范围的求法
数学解题的思维过程
关于投影,有了这篇推送应该已经足够了。
一道背景深厚的椭圆离心率难题及其解法研究
圆锥曲线相交切线的性质
魏立国——不等式e^x ≥ x+1和+ln(x+1)≤X的应用
【博学多才】筷子夹汤圆,夹出一个美丽的"蒙日圆",真是太神奇了!!!
一道取值范围试题的七个解法四个结果!谁对谁错?问题出在哪?
【美不胜收】求解动点轨迹方程的的七种解法------全方位,无死角!!!
杨飞——极值点偏移与拐点偏移的解题思路
洪一平、 杨飞、邹生书——解答一道以椭圆为载体的轨迹方程与面积最值征解难题
单壿、石中海、赵春等:一道莫斯科绝对值最小值高考题的解法研究文章荟萃
从求解过程看高考解答题中压轴题的求解策略
三角函数求最值的七种解法——个个实用
先猜后证破解圆锥曲线“三定”探索题
柴淑兰——关于“高中数学必修1第一章”难点处理策略(续完)
柴淑兰——关于“高中数学必修1第一章”难点处理策略(待续)
一道向量难题的两思路四解法
挖掘隐含条件 探求解题途径——谈一类参数取值范围高考题的解法
题型汇编 | 高考中的复合函数
函数图像对称性的导数视角
抽象函数的“双对称”问题及解法
张长新——几个平几定理在解题中的应用
用对称原理和平衡状态分析思考数学问题