三角形面积最大值问题的解法与几何背景
浙江省平阳中学 洪一平
重新建系 双判别式法再解三角形面积
最大值问题
湖北省阳新县高级中学 邹生书
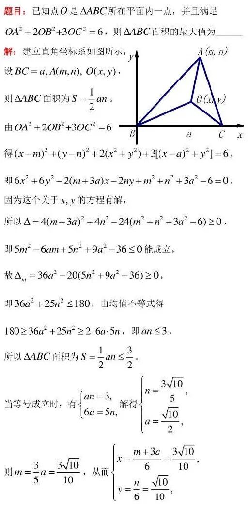
14.在平面直角坐标系xOy中, 异于原点的A, B, C
三点满足OA2+2OB2+3OC2=6,则△ABC面积的最大值为______
点评:题设中的坐标系不仅是聋子的耳朵,而且对解题有误导作用。为此,我们可将此题改编如下一道题面简洁干净的问题。
相关文章链接:
三角形面积最大值问题的一般性结论及其数形结合法与嵌入不等式证明
长按或扫描二维码关注本公众号!
高中数学视频链接:
近期好文荐读:
深度好文|用通性、通法解导数压轴题——全国理数一卷近三年导数题研究及2020年导数题预测
洛必塔法则 零点定理取点 函数凹凸性 三种法解一道“端点效应”难题
阳友雄:拉格朗日中值定理及其应用——不等式证明的又一大利器!!!
九市联盟2020届数学理科核心模拟卷三份及参考答案与评分细则
解答高考选择题的八大策略——教你如何灵活、高效、精准拿分!!!
熊昌进:数学教学我们永远在路上——从学生的思维出发进行教学指导一例
曾蓉——轨迹法突破一类解三角形面积最值问题之二 原来也有“圆”
曹凤山:年年考向量 岁岁数与形 ———浙江省自主命题以来向量试题特点评析
魏立国——不等式e^x ≥ x+1和+ln(x+1)≤X的应用
【博学多才】筷子夹汤圆,夹出一个美丽的"蒙日圆",真是太神奇了!!!
【美不胜收】求解动点轨迹方程的的七种解法------全方位,无死角!!!
洪一平、 杨飞、邹生书——解答一道以椭圆为载体的轨迹方程与面积最值征解难题
单壿、石中海、赵春等:一道莫斯科绝对值最小值高考题的解法研究文章荟萃