请点击上方蓝色字体“邹生书数学”,订阅本微信公众号;请点击右上角的“…”,发送给朋友或分享到朋友圈。
公众号“邹生书数学”创建于2018年8月28日。
开号宗旨:为热爱学习和研究的高中数学教师和教研员搭建学习交流平台,提升教学能力,促进专业发展。本公众号致力传播数学文化,发表教研成果,交流教学经验,探讨数学问题,展示解题方法,分享教学资源,为服务高中教学作贡献。
邹生书,男,1962年12月出生,本科学历,理学士学位,中学数学高级教师,黄石市高中数学骨干教师。主要从事高中数学教学、高中数学解题研究和探究性学习等。从2007年8月到2018年8月,在《数学通讯》《数学通报》《数学教学》《中学数学》《中学数学教学》等,二十多种学术期刊上发表解题和探究性学习文章300余篇。
公众号“邹生书数学”诚请高中数学教师、教研员和热爱数学的朋友不吝赐稿。来稿请注明真实姓名、工作单位和联系方式,一般只接受word文档格式的电子稿件,文稿请认真审查,防止错漏,确保无误,文责自负。
投稿邮箱:zoushengshu@163.com;
投稿微信号:13297228197。
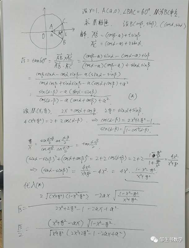
就是点M(x, y)的轨迹方程,由于这个太过复杂, 难以化简, 但由方程可知,点M的轨迹不是一个圆。结合几何画板知,点M的轨迹象圆但不是圆。
探究4:两位博士对定点定角所对弦的中点轨迹方程的解答
编者对问题平行四边形对角线交点的轨迹方程如何求解的问题,请教了张波博士和赵辉博士,下面是编者提出的轨迹问题和两位博士的解答回复。
(1)张波博士的轨迹方程
(2)赵辉博士的轨迹方程解答手稿(对问题进行了等价转化)
探究5:张波博士对原问题的完美解答
4.问题探源
编者猜想,这道题目可能是由如下一道大家做过的题目或类似的题目改编而成,题目与解答如下。
相关文章链接:
长按或扫描二维码关注本公众号!