一、极值点偏移的定义
二、对数平均定义与证明
(对数平均不等式在高考中不能直接用,在解答题中需要证明)
三、高考例题
极值点偏移问题在历年考题中反复出现,比如2016年全国卷、2013年湖南卷、2011年辽宁卷、2010年天津卷等。
四、解后思考:答题模板
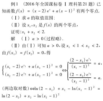
第一步: 根据f(x1)=f(x1)建立等式
第二步: 如果等式含有参数,则消参; 有指数的则两边取对数,转化为对数式
第三步: 通过恒等变换转化为对数平均问题,利用对数平均不等式求解
高考中对函数极值的考察正向多样化发展,其中含参的函数极值不等式越来越被高考命题专家所钟爱,本文通过一道例题汇总一下此类题目的多种典型解法.
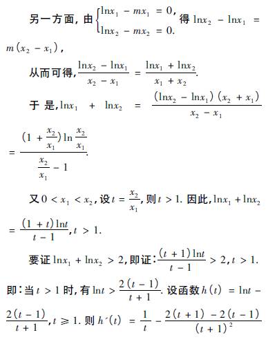
解法一:齐次构造消参
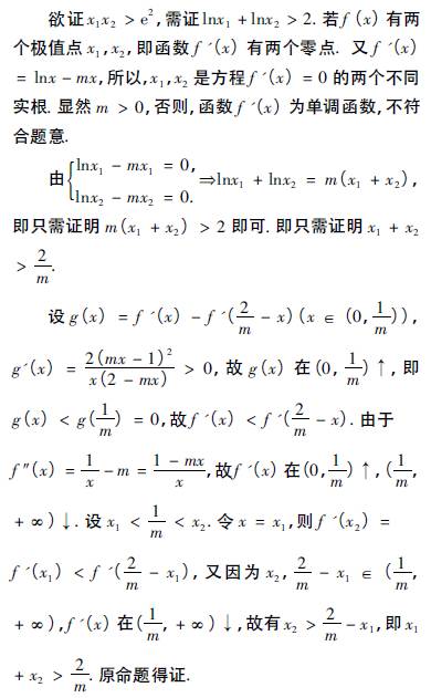
解法二: 构造函数1
解法三: 构造函数2
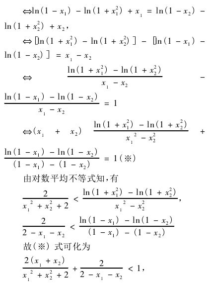
解法四: 引入变量1
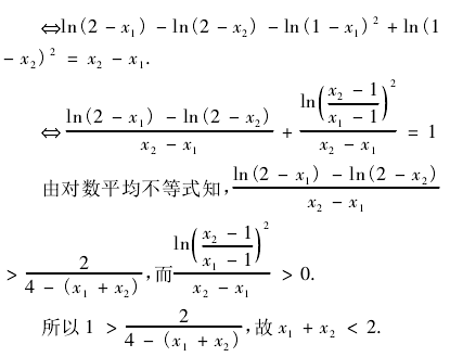
解法五: 巧引入变量2
“高中数学解题研究群”公众号
由千人教师QQ群高中数学解题研究群416652117团队创作和管理。
转自:“高中数学解题研究群”公众号
长按或扫描二维码关注本公众号!
近期好文荐读:
三角形面积最大值问题的一般性结论及其数形结合法与嵌入不等式证明
洪一平、邹生书——三角形面积最大值问题的两个新解法与几何背景
王小国、霍忠林、魏拴文、谢伦驾——同研赵忠华向量数量积最大值问题
深度好文|用通性、通法解导数压轴题——全国理数一卷近三年导数题研究及2020年导数题预测
洛必塔法则 零点定理取点 函数凹凸性 三种法解一道“端点效应”难题
阳友雄:拉格朗日中值定理及其应用——不等式证明的又一大利器!!!
九市联盟2020届数学理科核心模拟卷三份及参考答案与评分细则
解答高考选择题的八大策略——教你如何灵活、高效、精准拿分!!!
熊昌进:数学教学我们永远在路上——从学生的思维出发进行教学指导一例
曾蓉——轨迹法突破一类解三角形面积最值问题之二 原来也有“圆”
曹凤山:年年考向量 岁岁数与形 ———浙江省自主命题以来向量试题特点评析
魏立国——不等式e^x ≥ x+1和+ln(x+1)≤X的应用
【博学多才】筷子夹汤圆,夹出一个美丽的"蒙日圆",真是太神奇了!!!
【美不胜收】求解动点轨迹方程的的七种解法------全方位,无死角!!!
洪一平、 杨飞、邹生书——解答一道以椭圆为载体的轨迹方程与面积最值征解难题
单壿、石中海、赵春等:一道莫斯科绝对值最小值高考题的解法研究文章荟萃
挖掘隐含条件 探求解题途径——谈一类参数取值范围高考题的解法