三角形中一个函数最大最小值双填
试题及其解法
浙江省平阳中学 洪一平
湖北省阳新县高级中学 邹生书
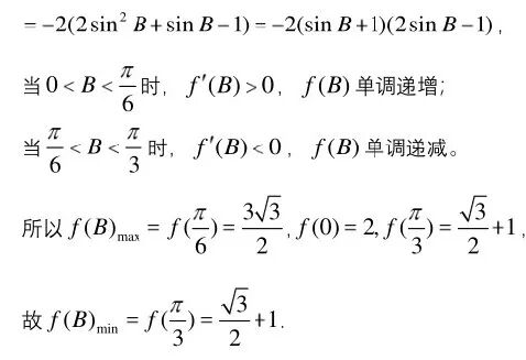
点评:以上解法是浙江平阳中学洪一平老师给出的,先用和差化积公式求角B的取值范围,再用导数求最大值和最小值。洪老师指出解法用了一下和差化积,超纲了。
广东广州的王義老师在数学解题与写作交流群里指出:这题是我市的一模,估计出题人的意图就是想学生用余弦定理和均值。
下面在洪老师解法的基础上结合命题意图如下解法:先用正弦定理、余弦定理和均值不等式求角B的取值范围,再用导数工具求最大值和最小值。
长按或扫描二维码关注本公众号!
近期好文荐读:
函数零点问题的五种常见题型及其求解策略——最后一种让人直呼“过瘾”!!!
三角形面积最大值问题的一般性结论及其数形结合法与嵌入不等式证明
洪一平、邹生书——三角形面积最大值问题的两个新解法与几何背景
王小国、霍忠林、魏拴文、谢伦驾——同研赵忠华向量数量积最大值问题
深度好文|用通性、通法解导数压轴题——全国理数一卷近三年导数题研究及2020年导数题预测
洛必塔法则 零点定理取点 函数凹凸性 三种法解一道“端点效应”难题
阳友雄:拉格朗日中值定理及其应用——不等式证明的又一大利器!!!
九市联盟2020届数学理科核心模拟卷三份及参考答案与评分细则
解答高考选择题的八大策略——教你如何灵活、高效、精准拿分!!!
熊昌进:数学教学我们永远在路上——从学生的思维出发进行教学指导一例
曾蓉——轨迹法突破一类解三角形面积最值问题之二 原来也有“圆”
曹凤山:年年考向量 岁岁数与形 ———浙江省自主命题以来向量试题特点评析
魏立国——不等式e^x ≥ x+1和+ln(x+1)≤X的应用
【博学多才】筷子夹汤圆,夹出一个美丽的"蒙日圆",真是太神奇了!!!
【美不胜收】求解动点轨迹方程的的七种解法------全方位,无死角!!!
洪一平、 杨飞、邹生书——解答一道以椭圆为载体的轨迹方程与面积最值征解难题
单壿、石中海、赵春等:一道莫斯科绝对值最小值高考题的解法研究文章荟萃