请点击上方蓝色字体“邹生书数学”,订阅本微信公众号;请点击右上角的“…”,发送给朋友或分享到朋友圈。
公众号“邹生书数学”创建于2018年8月28日。
开号宗旨:为热爱学习和研究的高中数学教师和教研员搭建学习交流平台,提升教学能力,促进专业发展。本公众号致力传播数学文化,发表教研成果,交流教学经验,探讨数学问题,展示解题方法,分享教学资源,为服务高中教学作贡献。
邹生书,男,1962年12月出生,本科学历,理学士学位,中学数学高级教师,黄石市高中数学骨干教师。主要从事高中数学教学、高中数学解题研究和探究性学习等。从2007年8月到2018年8月,在《数学通讯》《数学通报》《数学教学》《中学数学》《中学数学教学》等,二十多种学术期刊上发表解题和探究性学习文章300余篇。
公众号“邹生书数学”诚请高中数学教师、教研员和热爱数学的朋友不吝赐稿。来稿请注明真实姓名、工作单位和联系方式,一般只接受word文档格式的电子稿件,文稿请认真审查,防止错漏,确保无误,文责自负。
投稿邮箱:zoushengshu@163.com;
投稿微信号:13297228197。
运用“等积线”求解一类条件最值问题
陕西省西安市高陵区第一中学 袁方
浙江省平阳中学 洪一平
湖北省阳新县高级中学 邹生书
数学通报2516问题(2020年第1期问题第2期解答):
解法2:数形结合,用双曲线切线的几何性质求解
先证明双曲线xy=k(k>0)切线的一个几何性质
性质:曲线xy=k(k>0)上任意一点的切线与两坐标轴所围成三角形的面积是一个定值,这个定值在数值上等于2k.
解法3:数形结合,直接用“等积线”的几何意义求解
由曲线方程xy=k知,曲线上任意一点P的横坐标与纵坐标的积等于定值k,其几何意义是:过曲线上任意一点作两坐标轴的平行线与两坐标轴所围成矩形的面积等于一个定值,这个定值就是k的绝对值。因此,我们称双曲线xy=k为等积线。易知,k的绝对越大,曲线越远离坐标原点。
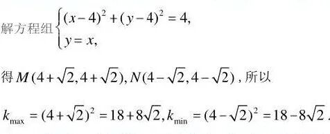
曲线系xy=k是一组平行的等积线,由k的几何意义知,当双曲线与圆分别相切于点M,N时,k分别取得最大值和最小值。此时M,N就是圆与双曲线的对称轴y=x与圆的交点,
点评:解法2与解法3大同小异,但法2似乎有点舍近求远,法3更为简明直接。
评注:作者原解答利用恒等式(sina+cosa)2+(sina-cosa)2=2进行三角代换解答,也可以完成,但是显得些许油腻,甚至并不方便。而利用圆的参数方程甚至可以将问题推广转化为xy=A sinacosa+Bsina+Ccosa的经典问题解答,只是系数还是期待巧妙吧。
下面我们再来研究一个题目的解法。
点评: 解法1的双换元最容易想到, 注意到双配方的次序, 后面就顺理成章了。解法2的双换元的妙处是解决了双曲线与直线的切点的计算麻烦, 现变成了等轴双曲线与等截距的直线的相切, 切点在直线y=x上, 可口算得之啦;过交点也就容易一目了然了. 关注的重点就在换元的系数上.
长按或扫描二维码关注本公众号!
近期好文荐读: