十种方法,突破三角函数最值问题
三角函数的最值问题始终是三角函数中的热点问题之一,所涉及的知识广泛,综合性、灵活性较强。解决三角函数的最值问题,不仅会用到三角函数的定义、单调性、奇偶性、周期性、对称性、有界性,而且还会用到三角函数的恒等变换;同时,在三角函数的最值问题中常常涉及到初等函数、不等式、方程、几何等方面问题;
下面具体介绍十类解题方法
若函数表达式中只含有正弦函数或余弦函数,且它们次数是2时,一般就需要通过配方或换元将给定的函数化归为二次函数的最值问题来处理.
对于一些比较复杂的复合三角函数,直接运用三角公式转化比较困难。针对题型结构特点,可以通过变量替换,将原来的三角问题转化为代数问题。这样就将比较复杂的函数转化为更容易求最值的代数函数求解。
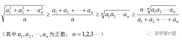
对于一些满足均值不等式特征结构的三角函数,可以运用均值不等式来解决此种类型的三角函数最值问题。均值不等式的一般形式:
在运用均值不等式时,必须注意函数式中各项的正负,需要各项满足正值时方可使用,在解题时应加以论述说明;然后应该注意不等式中等号成立的条件、需要合理的拆添项,凑常数,以及不等式中和的最值与积的最值,
含参数的三角函数的值域问题,需要对参数进行讨论.
以上资料来源于公众号“数学第六感”
长按或扫描二维码关注本公众号!
近期好文荐读:
函数零点问题的五种常见题型及其求解策略——最后一种让人直呼“过瘾”!!!
三角形面积最大值问题的一般性结论及其数形结合法与嵌入不等式证明
洪一平、邹生书——三角形面积最大值问题的两个新解法与几何背景
王小国、霍忠林、魏拴文、谢伦驾——同研赵忠华向量数量积最大值问题
深度好文|用通性、通法解导数压轴题——全国理数一卷近三年导数题研究及2020年导数题预测
洛必塔法则 零点定理取点 函数凹凸性 三种法解一道“端点效应”难题
阳友雄:拉格朗日中值定理及其应用——不等式证明的又一大利器!!!
九市联盟2020届数学理科核心模拟卷三份及参考答案与评分细则
解答高考选择题的八大策略——教你如何灵活、高效、精准拿分!!!
熊昌进:数学教学我们永远在路上——从学生的思维出发进行教学指导一例
曾蓉——轨迹法突破一类解三角形面积最值问题之二 原来也有“圆”
曹凤山:年年考向量 岁岁数与形 ———浙江省自主命题以来向量试题特点评析
魏立国——不等式e^x ≥ x+1和+ln(x+1)≤X的应用
【博学多才】筷子夹汤圆,夹出一个美丽的"蒙日圆",真是太神奇了!!!
【美不胜收】求解动点轨迹方程的的七种解法------全方位,无死角!!!
洪一平、 杨飞、邹生书——解答一道以椭圆为载体的轨迹方程与面积最值征解难题
单壿、石中海、赵春等:一道莫斯科绝对值最小值高考题的解法研究文章荟萃