请点击上方蓝色字体“邹生书数学”,订阅本微信公众号;请点击右上角的“…”,发送给朋友或分享到朋友圈。
公众号“邹生书数学”创建于2018年8月28日。
开号宗旨:为热爱学习和研究的高中数学教师和教研员搭建学习交流平台,提升教学能力,促进专业发展。本公众号致力传播数学文化,发表教研成果,交流教学经验,探讨数学问题,展示解题方法,分享教学资源,为服务高中教学作贡献。
邹生书,男,1962年12月出生,本科学历,理学士学位,中学数学高级教师,黄石市高中数学骨干教师。主要从事高中数学教学、高中数学解题研究和探究性学习等。从2007年8月到2018年8月,在《数学通讯》《数学通报》《数学教学》《中学数学》《中学数学教学》等,二十多种学术期刊上发表解题和探究性学习文章300余篇。
公众号“邹生书数学”诚请高中数学教师、教研员和热爱数学的朋友不吝赐稿。来稿请注明真实姓名、工作单位和联系方式,一般只接受word文档格式的电子稿件,文稿请认真审查,防止错漏,确保无误,文责自负。
投稿邮箱:zoushengshu@163.com;
投稿微信号:13297228197。
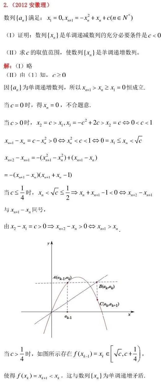
三道二次型递推数列单调性问题及其解法
安徽淮南市第十中学 陈勇
引题:
1.(2009安徽理)
长按或扫描二维码关注本公众号!
近期好文荐读:
李鸿昌——绕开洛必达,回归导数概念,求解“0/0”端点效应高考压轴题
函数零点问题的五种常见题型及其求解策略——最后一种让人直呼“过瘾”!!!
三角形面积最大值问题的一般性结论及其数形结合法与嵌入不等式证明
洪一平、邹生书——三角形面积最大值问题的两个新解法与几何背景
王小国、霍忠林、魏拴文、谢伦驾——同研赵忠华向量数量积最大值问题
深度好文|用通性、通法解导数压轴题——全国理数一卷近三年导数题研究及2020年导数题预测
洛必塔法则 零点定理取点 函数凹凸性 三种法解一道“端点效应”难题
阳友雄:拉格朗日中值定理及其应用——不等式证明的又一大利器!!!
九市联盟2020届数学理科核心模拟卷三份及参考答案与评分细则
解答高考选择题的八大策略——教你如何灵活、高效、精准拿分!!!
熊昌进:数学教学我们永远在路上——从学生的思维出发进行教学指导一例
曾蓉——轨迹法突破一类解三角形面积最值问题之二 原来也有“圆”
曹凤山:年年考向量 岁岁数与形 ———浙江省自主命题以来向量试题特点评析
魏立国——不等式e^x ≥ x+1和+ln(x+1)≤X的应用
【博学多才】筷子夹汤圆,夹出一个美丽的"蒙日圆",真是太神奇了!!!
【美不胜收】求解动点轨迹方程的的七种解法------全方位,无死角!!!
洪一平、 杨飞、邹生书——解答一道以椭圆为载体的轨迹方程与面积最值征解难题
单壿、石中海、赵春等:一道莫斯科绝对值最小值高考题的解法研究文章荟萃