请点击上方蓝色字体“邹生书数学”,订阅本微信公众号;请点击右上角的“…”,发送给朋友或分享到朋友圈。
公众号“邹生书数学”创建于2018年8月28日。
开号宗旨:为热爱学习和研究的高中数学教师和教研员搭建学习交流平台,提升教学能力,促进专业发展。本公众号致力传播数学文化,发表教研成果,交流教学经验,探讨数学问题,展示解题方法,分享教学资源,为服务高中教学作贡献。
邹生书,男,1962年12月出生,本科学历,理学士学位,中学数学高级教师,黄石市高中数学骨干教师。主要从事高中数学教学、高中数学解题研究和探究性学习等。从2007年8月到2018年8月,在《数学通讯》《数学通报》《数学教学》《中学数学》《中学数学教学》等,二十多种学术期刊上发表解题和探究性学习文章300余篇。
公众号“邹生书数学”诚请高中数学教师、教研员和热爱数学的朋友不吝赐稿。来稿请注明真实姓名、工作单位和联系方式,一般只接受word文档格式的电子稿件,文稿请认真审查,防止错漏,确保无误,文责自负。
投稿邮箱:zoushengshu@163.com;
投稿微信号:13297228197。
同构式的三“生”三“释”
自从秒群(758352643)在2018年跟大家交流同构式开始,全国各地的老师和学生似乎都很迷这个“神招”,最近更是火上加火,非常多的模考题都体现了同构思维,其实同构式并不神秘,和很多之前的专题一样,我们需要细化它,透彻理解它,所以我们需要一个同构式的“说明书”.
一生:同构式到底是什么?
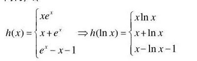
一释:同构式源于指对跨阶的问题,ex+x与x+lnx属于跨阶函数,而ex+lnx属于跳阶函数,所以指对跳阶的函数问题,在中学阶段没有解决它的巧妙方法,只能构造隐零点代换来简化,但通过指对跨阶函数进行同构,即
我们发现将一个指数、直线、对数三阶的问题通过跨阶函数的同构,变成了两阶问题,类似于二阶递推数列通过一次递推后变成了一阶数列,所以,通过构造跨阶函数的同构式,大大简化了分析和计算.
二生:同构式能解决什么问题?
二释:同构式是属于跨阶的复合函数,所以复合函数能解决的一切问题,同构式均能解决.在一些求参数的取值范围、零点个数、证明不等式中,利用复合函数单调性,复合函数零点个数以及复合函数的最值保值性来快速解题.
三生:同构式怎么构造?如何选取函数?
三释:同构式需要构造一个母函数,即外函数,用表示,这个母函数需要满足:①指对跨阶;②单调性和最值易求;
就看内函数,即子函数的构造了.
接下来,我们将分别利用同构式的单调性、保值性和零点问题来对同构式进行系统分析,从同构的三生三世到十里桃花.
关于同构更多的思维体系,更多的教学设计,欢迎广大师生朋友共同探讨交流,欢迎添加利哥(张羊利老师)微信:1781101568
扫描二维码关注公众号:老唐说题
带你感受不一样的数学世界