请点击上方蓝色字体“邹生书数学”,订阅本微信公众号;请点击右上角的“…”,发送给朋友或分享到朋友圈。
公众号“邹生书数学”创建于2018年8月28日。
开号宗旨:为热爱学习和研究的高中数学教师和教研员搭建学习交流平台,提升教学能力,促进专业发展。本公众号致力传播数学文化,发表教研成果,交流教学经验,探讨数学问题,展示解题方法,分享教学资源,为服务高中教学作贡献。
邹生书,男,1962年12月出生,本科学历,理学士学位,中学数学高级教师,黄石市高中数学骨干教师。主要从事高中数学教学、高中数学解题研究和探究性学习等。从2007年8月到2018年8月,在《数学通讯》《数学通报》《数学教学》《中学数学》《中学数学教学》等,二十多种学术期刊上发表解题和探究性学习文章300余篇。
公众号“邹生书数学”诚请高中数学教师、教研员和热爱数学的朋友不吝赐稿。来稿请注明真实姓名、工作单位和联系方式,一般只接受word文档格式的电子稿件,文稿请认真审查,防止错漏,确保无误,文责自负。
投稿邮箱:zoushengshu@163.com;
商务联系:13297228197。
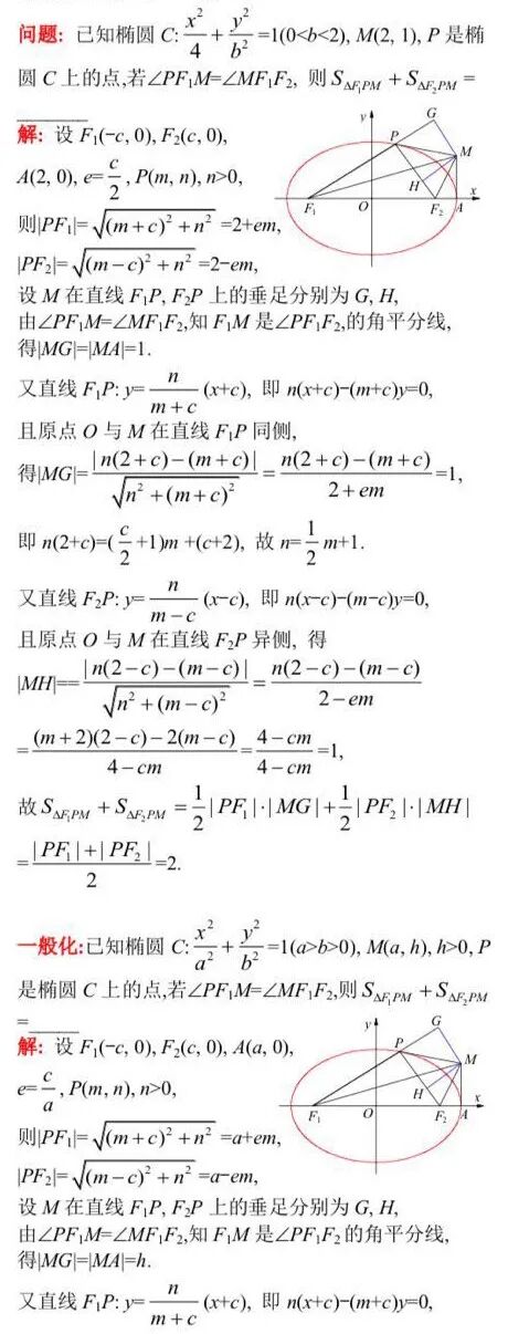
椭圆中两个三角面积和的求值与几何背景
浙江省平阳中学 洪一平
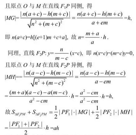
评注:解题过程等价于证明了M是△PF1F2的旁心,这也就是本题的命题背景。
【作者简介】洪一平,男, 1962年4月出生, 1979年考上浙江大学应用数学系并于83年毕业, 获理学士学位, 毕业后分配到杭州商学院担任高数助教二年, 85年考上浙江大学应用数学系攻读计算机辅助几何设计专业硕士研究生学位, 89年获得理学硕士学位, 毕业后回家乡任教于浙江省平阳中学, 96年评上高中数学高级教师职称, 曾连续二十多年担任高中数学竞赛及培优辅导员。
童年的回忆——那年是那年
作者:张靖华
出生农村娃,轱辘铁钩拿。
上学攀山路,学校远离家。
教室鼓风楼,桌椅木板夹。
课间弹溜溜,体活鹰鸡抓。
放学搭伴走,背捆柴养家。
忙里偷玩耍,尿泥和泥巴。
作业油灯下,学习靠自拔。
成绩顶呱呱,奖状数成沓。
长按或扫描二维码关注本公众号!
公众号《邹生书数学》
近期最受读者欢迎的部分文章链接
0.李鸿昌——函数f(x)=2sinx+sin2x最小值的多解与变式探究
2.老唐说题——导数压轴题之同构式的三“生”三“释”+8个典型试题教你学同构
5.李鸿昌——绕开洛必达,回归导数概念,求解“0/0”端点效应高考压轴题
6.圆锥曲线极点与极线的性质及其在解答高考题中的应用文章三篇
10.袁方、洪一平、邹生书——运用“等积线”求解一类条件最值问题
17.洪一平、邹生书——三角形面积最大值问题的两个新解法与几何背景
18.深度好文|用通性、通法解导数压轴题——全国理数一卷近三年导数题研究及2020年导数题预测
20.洛必塔法则 零点定理取点 函数凹凸性 三种法解一道“端点效应”难题
21.阳友雄:拉格朗日中值定理及其应用——不等式证明的又一大利器!!!
25.九市联盟2020届数学理科核心模拟卷三份及参考答案与评分细则
27.高考数学冲刺专题——解析几何(正高级,特级教师夏远景)
28.巧用“等和线”解决平面向量问题,怎一个“妙”字了得!!!
29.解答高考选择题的八大策略——教你如何灵活、高效、精准拿分!!!