请点击上方蓝色字体“邹生书数学”,订阅本微信公众号;请点击右上角的“…”,发送给朋友或分享到朋友圈。
公众号“邹生书数学”创建于2018年8月28日。
开号宗旨:为热爱学习和研究的高中数学教师和教研员搭建学习交流平台,提升教学能力,促进专业发展。本公众号致力传播数学文化,发表教研成果,交流教学经验,探讨数学问题,展示解题方法,分享教学资源,为服务高中教学作贡献。
邹生书,男,1962年12月出生,本科学历,理学士学位,中学数学高级教师,黄石市高中数学骨干教师。主要从事高中数学教学、高中数学解题研究和探究性学习等。从2007年8月到2018年8月,在《数学通讯》《数学通报》《数学教学》《中学数学》《中学数学教学》等,二十多种学术期刊上发表解题和探究性学习文章300余篇。
公众号“邹生书数学”诚请高中数学教师、教研员和热爱数学的朋友不吝赐稿。来稿请注明真实姓名、工作单位和联系方式,一般只接受word文档格式的电子稿件,文稿请认真审查,防止错漏,确保无误,文责自负。
投稿邮箱:zoushengshu@163.com;
商务联系:13297228197。
【编者按】洪一平,数学高级教师。83年毕业于浙江大学数学系,后在杭州商学院任高数助教,89年获浙大数学系硕士学位。现任教于浙江省一级重点学校、国家级外语实验学校、浙江省现代教育技术实验学校——平阳中学。在编者创建的《数学解题与写作交流群》和《高中数学解题交流二群》中,洪老师为群里教师答疑解难最多,到目前为止高达四五百道题目,不仅出手快,大都以 PDF文档形式交流,足见洪老师数学功底深厚,题库贮藏丰厚,因此厚积而薄发。洪一平老师是群里教师公认的罕见的解题高手、数学名师,群里朋友纷纷加他为微信好友以便进一步交流学习。
群里朋友绝大多数是教师,教师提出的寻求帮助的题目大多都是综合性强的难题,读者朋友你是否遇到过这些难题?遇到了多少?是否也困惑过?犯难过?为此,公众号《邹生书数学》特别推出:《洪一平解难题专集链接》,希望对大家有所帮助。
这个怪异丑陋的三角不等式征解题
原来的样子很优美
浙江省平阳中学 洪一平
1.一道形式怪异丑陋的三角不等式征解题
2.丑陋的三角不等式原来的样子很优美
在华罗庚数学奥林匹克竞赛集训教材(高中)第209页巩固练习第2题中提供了如下形式对称优美的费-哈不等式(1938年由Finsler-Hadriger提出):
这个不等式的证明已有多种方法. 最近, 这个不等式的等价形式多次出现, 如改头换面后出现在《数学通报》2020年第4期的问题2536中, 在高中数学解题交流二群中有老师以问题征解形式提出过一个形状怪异的三角不等式, 实际上都是费-哈不等式的等价形式
下面笔者提供一个切线长代换证法及一个原创证法, 供第一次接触者参考, 并且这些不等式的等价形式在下面的证明中都有简洁的转化过程.
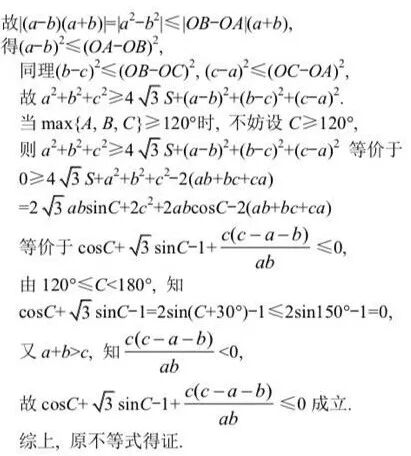
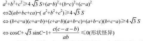
问题:设△ABC的三内角A,B,C所对的边长分别为a,b,c,其面积为S,
求证:(b+c-a)(c+a-b)+(c+a-b)(a+b-c)+(a+b-c)(b+c-a)≥4√3S.
证法一: 海伦公式+切线长代换证法
【作者简介】洪一平,男, 1962年4月出生, 1979年考上浙江大学应用数学系并于83年毕业, 获理学士学位, 毕业后分配到杭州商学院担任高数助教二年, 85年考上浙江大学应用数学系攻读计算机辅助几何设计专业硕士研究生学位, 89年获得理学硕士学位, 毕业后回家乡任教于浙江省平阳中学, 96年评上高中数学高级教师职称, 曾连续二十多年担任高中数学竞赛及培优辅导员。
长按或扫描二维码关注本公众号!
洪一平解难题文章专集链接
洪一平——解答一道综合性较强的最值选择题
洪一平——2011年印度数学奥林匹克抽象函数竞赛题的严谨解法
洪一平、邹生书——六种方法解答一道含有参数的向量模之和的最小值试题
洪一平、邹生书:一道与椭圆焦点弦相关的向量模取值范围 难题的两个解法
洪一平、邹生书——三角形面积最大值问题的两个新解法与几何背景
洪一平、张红生——涉及二次函数零点的系数线性和最值问题及其解法
洪一平、 杨飞、邹生书——解答一道以椭圆为载体的轨迹方程与面积最值征解难题
胡长淼、洪一平——一道已知函数的最小值求参数取值试题的三种解法
洪一平——2019届南通海安上学期期末考试第14题的两个解法
杨俊、张长新、洪一平、李启印——解答一道与阿氏圆有关的双根式最小值征解题
洪一平——第十六届东南杯数学奥林匹克高一试题第一题的两个新解法
洪一平、张智刚、霍忠林——一道涉及三角形内心的向量系数和最值问题的几个简解
洪一平、张智刚、邹生书——一道三次函数零点个数试题的解法与反思