请点击上方蓝色字体“邹生书数学”,订阅本微信公众号;请点击右上角的“…”,发送给朋友或分享到朋友圈。
公众号“邹生书数学”创建于2018年8月28日。
开号宗旨:为热爱学习和研究的高中数学教师和教研员搭建学习交流平台,提升教学能力,促进专业发展。本公众号致力传播数学文化,发表教研成果,交流教学经验,探讨数学问题,展示解题方法,分享教学资源,为服务高中教学作贡献。
邹生书,男,1962年12月出生,本科学历,理学士学位,中学数学高级教师,黄石市高中数学骨干教师。主要从事高中数学教学、高中数学解题研究和探究性学习等。从2007年8月到2018年8月,在《数学通讯》《数学通报》《数学教学》《中学数学》《中学数学教学》等,二十多种学术期刊上发表解题和探究性学习文章300余篇。
公众号“邹生书数学”诚请高中数学教师、教研员和热爱数学的朋友不吝赐稿。来稿请注明真实姓名、工作单位和联系方式,一般只接受word文档格式的电子稿件,文稿请认真审查,防止错漏,确保无误,文责自负。
投稿邮箱:zoushengshu@163.com;
商务联系:13297228197。
运用“同构”解一道抽象函数不等式
联考压轴题
天津高达溟提供解法 湖北邹生书编辑整理
解析:要求实数a的取值范围,实数上就是要解这个抽象函数不等式eaf(2a+1)≧f(a+1)。常用方法是通过变形使左右两边具有相同的结构即所谓的“同构”,然后根据左右两边相同的构型构造函数,接下来用函数的单调性求解,难点与关键是将不等式变形使左右同构。
运用“同构”解答一个隐零点问题
广东深圳 杨 俊
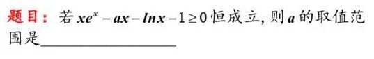
解析:之前我们是使用切线放缩快速的得到了结果,那么,如果是解答题,如何写解答过程呢?这个时候,就会遇到隐零点了。
肯定有人会问了,老师等等,你那个方程的隐零点是怎么解出来的,我还是没看明白?
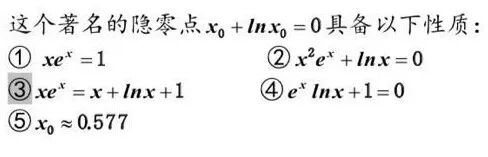
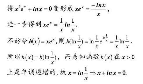
能够提出这个问题的学生,是有自己的思考的,接下来,我们来解释一下这个隐零点x0+lnx0=0是如何求得的,它又有什么性质。
这里,我们用到了同构的技巧,这个技巧在解决某些特定类型的问题的时候,非常有效。
最后,我们小结一下,如果是选填题,我们采用切线放缩做比较简洁。但如果是解答题遇到,用参变分离做比较稳妥,肯定不会扣分。
长按或扫描二维码关注本公众号!
公众号《邹生书数学》
近期最受读者欢迎的部分文章链接
0.李鸿昌——函数f(x)=2sinx+sin2x最小值的多解与变式探究
2.老唐说题——导数压轴题之同构式的三“生”三“释”+8个典型试题教你学同构
5.李鸿昌——绕开洛必达,回归导数概念,求解“0/0”端点效应高考压轴题
6.圆锥曲线极点与极线的性质及其在解答高考题中的应用文章三篇
10.袁方、洪一平、邹生书——运用“等积线”求解一类条件最值问题
17.洪一平、邹生书——三角形面积最大值问题的两个新解法与几何背景
18.深度好文|用通性、通法解导数压轴题——全国理数一卷近三年导数题研究及2020年导数题预测
20.洛必塔法则 零点定理取点 函数凹凸性 三种法解一道“端点效应”难题
21.阳友雄:拉格朗日中值定理及其应用——不等式证明的又一大利器!!!
25.九市联盟2020届数学理科核心模拟卷三份及参考答案与评分细则
27.高考数学冲刺专题——解析几何(正高级,特级教师夏远景)
28.巧用“等和线”解决平面向量问题,怎一个“妙”字了得!!!
29.解答高考选择题的八大策略——教你如何灵活、高效、精准拿分!!!