以下文章来源于许兴华数学 ,作者山西张甜甜
南宁三中资深数学高级教师,南宁市学科带头人,分享数学学习方法与解题技巧,中小学教育文章,数学家的故事,文学作品,社会与人生,科技和人物故事等。
请点击上方蓝色字体“邹生书数学”,订阅本微信公众号;请点击右上角的“…”,发送给朋友或分享到朋友圈。
公众号“邹生书数学”创建于2018年8月28日。
开号宗旨:为热爱学习和研究的高中数学教师和教研员搭建学习交流平台,提升教学能力,促进专业发展。本公众号致力传播数学文化,发表教研成果,交流教学经验,探讨数学问题,展示解题方法,分享教学资源,为服务高中教学作贡献。
邹生书,男,1962年12月出生,本科学历,理学士学位,中学数学高级教师,黄石市高中数学骨干教师。主要从事高中数学教学、高中数学解题研究和探究性学习等。从2007年8月到2018年8月,在《数学通讯》《数学通报》《数学教学》《中学数学》《中学数学教学》等,二十多种学术期刊上发表解题和探究性学习文章300余篇。
公众号“邹生书数学”诚请高中数学教师、教研员和热爱数学的朋友不吝赐稿。来稿请注明真实姓名、工作单位和联系方式,一般只接受word文档格式的电子稿件,文稿请认真审查,防止错漏,确保无误,文责自负。
投稿邮箱:zoushengshu@163.com;
商务联系:13297228197。
运用均值不等式解题的五重境界
你修到了哪一境?
山西省垣曲中学 张甜甜
一代国学大师王国维在他的《人间词话》中提出了读书做学问的三重境界,并用“昨夜西风凋碧树。独上高楼,望尽天涯路”,来比喻第一境界“立”;用“衣带渐宽终不悔,为伊消得人憔悴”比喻第二境界 “守”;用“昨夜西风凋碧树。独上高楼,望尽天涯路”比喻第三境界 “得”。在我看来,数学的学习莫不如此,拿高中数学《基本不等式》一部分来说,多数学生面临简单问题时能够套用公式解题,碰到稍微复杂或变形的问题就束手无策,都是对均值原理的理解“境界”不够造成的。那么什么是足够的“境界”?我想均值原理最早应该从小学阶段两个有趣的问题说起:
(1)用固定长度的绳子围城一个矩形,怎样会使面积最大?
(2)用绳子围成固定面积的一块矩形,怎样会使绳子最省?
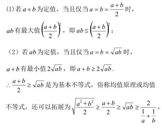
对于高中生来说结论无需赘述,缺乏的是将本质规律提炼称为一般的数学原理,也就是人教A版必修五的《基本不等式》,它本身应该是揭示两个正数a,b的和与积变化的必然规律:
可从左到右依次赋予“中文名”曰:平方平均数;算数平均数;几何平均数;调和平均数,还能够类比拓展到三个乃至多个正数,演变出多种变形,这些教辅资料上比比皆是,也就不一一列举,可是真正怎么能融会贯通加以应用?个人粗浅地总结了以下“五重境界”拿来与大家分享:
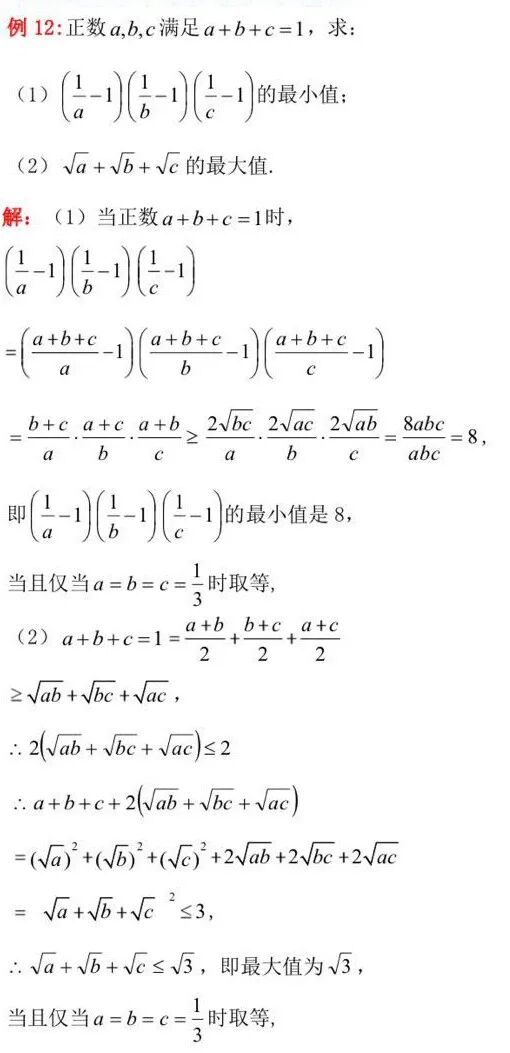
第一重境界:积定求和,和定求积
例1:(1)把36写成两正数的乘积,使它们的和最小;
(2)把18写成两正数的和,使它们的乘积最大.
这是数学人教A版必修五中的练习题,很明显直接考察均值原理,当且仅当6+6=12时和最小;当且仅当9×9=81时积最大.
此类问题或直接,或简单的数量表达存在和(积)的定值,而需要求积(和)的最值问题,直接应用均值原理可轻松解答。
第二重境界:配凑和(积)的定值,求积(和)
例8:(2017年课标1卷理16)如图,圆形纸片的圆心为O,半径为5 cm,该纸片上的等边三角形ABC的中心为O,D、E、F为圆O上的点,△DBC,△ECA,△FAB分别是以BC,CA,AB为底边的等腰三角形。沿虚线剪开后,分别以BC,CA,AB为折痕折起△DBC,△ECA,△FAB,使得D、E、F重合,得到三棱锥,当△ABC的边长变化时,求所得三棱锥体积(单位:cm3)的最大值.
此类问题表面看不满足均值定理的条件,但可以在形式上进行必要的有目的的变形,从而达到积定求和,或和定求积的目的,大大简化了求最值(范围)的计算量。
第三重境界:和积互化求最值(范围)
此类型问题,要求准确理解到均值原理本就是反应若干个正数的和与积的变化规律,可以根据题干适时地运用基本不等式或其变形,进行和与积的转化,等式变不等式,从而求出最值或范围。
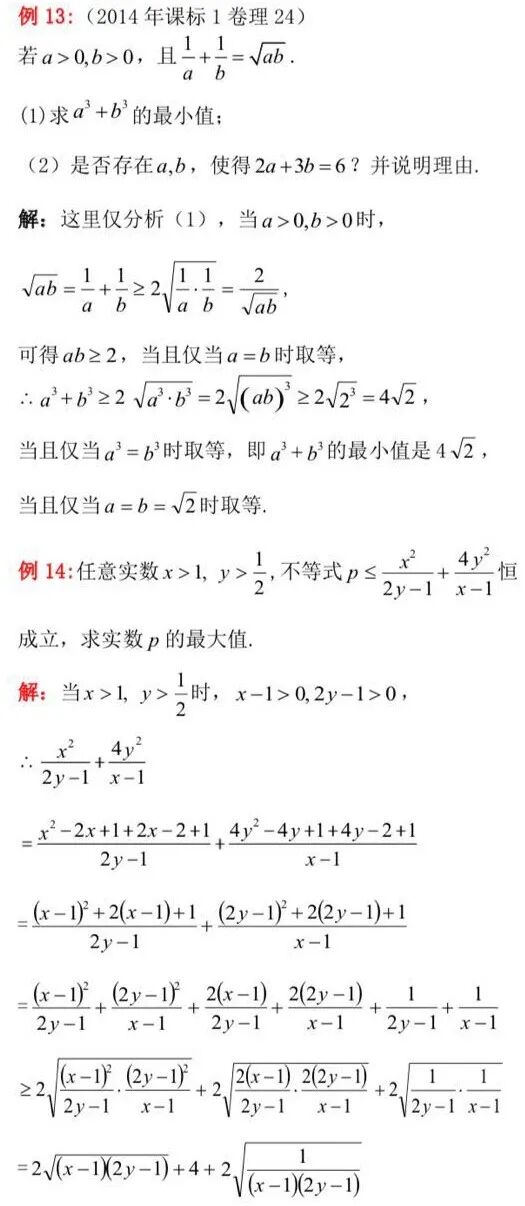
第四重境界:连环套用求最值(范围)
此种类型问题给我们的启示是:在过程中一定要尽量少次数地运用均值原理,如果要多次用到,一定要注意到每次取等号的条件是否一致,不一致时会误导我们求出“假的”最值。
综上所述,基本不等式和其变形经常应用到高中数学的各个领域,被用来很方便快捷地求参数或表达式的最值及范围,但也要意识到技巧性强,适用条件苛刻的弱点。所以必须深刻领悟“一正二定三能等,和定等时积最大,积定等时和最小”的二十一字原则,灵活而又准确地运用。“路漫漫其修远兮,吾将上下而求索”,正如标题所述,以上只是一位平凡中学教师,数学爱好者暂时领悟到的“境界”,仅供各位参考。
长按或扫描二维码关注本公众号!
投稿邮箱:zoushengshu@163.com;
商务联系:13297228197。