请点击上方蓝色字体“邹生书数学”,订阅本微信公众号;请点击右上角的“…”,发送给朋友或分享到朋友圈。
公众号“邹生书数学”创建于2018年8月28日。
开号宗旨:为热爱学习和研究的高中数学教师和教研员搭建学习交流平台,提升教学能力,促进专业发展。本公众号致力传播数学文化,发表教研成果,交流教学经验,探讨数学问题,展示解题方法,分享教学资源,为服务高中教学作贡献。
邹生书,男,1962年12月出生,本科学历,理学士学位,中学数学高级教师,黄石市高中数学骨干教师。主要从事高中数学教学、高中数学解题研究和探究性学习等。从2007年8月到2018年8月,在《数学通讯》《数学通报》《数学教学》《中学数学》《中学数学教学》等,二十多种学术期刊上发表解题和探究性学习文章300余篇。
公众号“邹生书数学”诚请高中数学教师、教研员和热爱数学的朋友不吝赐稿。来稿请注明真实姓名、工作单位和联系方式,一般只接受word文档格式的电子稿件,文稿请认真审查,防止错漏,确保无误,文责自负。
投稿邮箱:zoushengshu@163.com;
商务联系:13297228197。
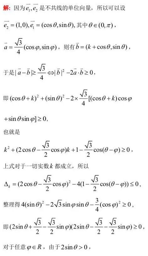
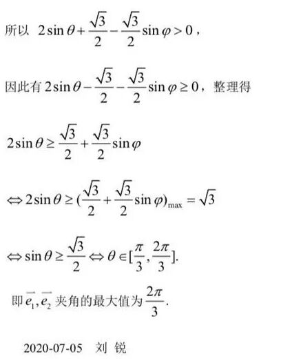
一个向量问题的实数运算解法
辽宁沈阳二中 刘 锐
在高中数学解题二群中洪一平老师借助于构图给出了这个问题的一个非常直观简单的解答,这里准备通过实数运算解答这个问题。
刘锐老师近期发表文章链接:
11.洪一平、刘锐——圆中同起点动弦向量数量积最小值难题的八种解法 你知道几种?
10.刘 锐:一道“指对幂”混合不等式恒成立求参数取值范围问题的解决
5.刘锐——六构函数解答一道“指对混合”方程参数取值范围难题
2.刘锐、洪一平——武汉市武昌区2020届高三四月理数试题第16题的两个解答
【作者简介】刘锐,男,1963年生,辽宁师范大学研究生课程班毕业,现任教于沈阳二中。先后获得苏步青数学教育奖,国家级骨干教师,中学正高级教师,辽宁省特级教师,辽宁省优秀教师,辽宁省中小学素质教育拔尖人才,鞍山市首届十大名师,鞍山市优秀教师等荣誉称号。
撰写论文一篇在东亚国际数学教育年会上交流,四篇在全国初等数学研究学术交流会交流获奖,近二十篇发表在《中国数学教育》等数学教学研究期刊上;任主编出版书籍两本,参编出版书籍两本。
长按或扫描二维码关注本公众号!
投稿邮箱:zoushengshu@163.com;
商务联系:13297228197。