请点击上方蓝色字体“邹生书数学”,订阅本微信公众号;请点击右上角的“…”,发送给朋友或分享到朋友圈。
公众号“邹生书数学”创建于2018年8月28日。
开号宗旨:为热爱学习和研究的高中数学教师和教研员搭建学习交流平台,提升教学能力,促进专业发展。本公众号致力传播数学文化,发表教研成果,交流教学经验,探讨数学问题,展示解题方法,分享教学资源,为服务高中教学作贡献。
邹生书,男,1962年12月出生,本科学历,理学士学位,中学数学高级教师,黄石市高中数学骨干教师。主要从事高中数学教学、高中数学解题研究和探究性学习等。从2007年8月到2018年8月,在《数学通讯》《数学通报》《数学教学》《中学数学》《中学数学教学》等,二十多种学术期刊上发表解题和探究性学习文章300余篇。
公众号“邹生书数学”诚请高中数学教师、教研员和热爱数学的朋友不吝赐稿。来稿请注明真实姓名、工作单位和联系方式,一般只接受word文档格式的电子稿件,文稿请认真审查,防止错漏,确保无误,文责自负。
投稿邮箱:zoushengshu@163.com;
商务联系:13297228197。
一道三元二次式取值范围试题的几种解法
湖北省阳新县高级中学 邹生书
北京陈经纶中学 孙丕训
浙江省平阳中学 洪一平
2020年8月24日,浙江金华田敏老师在高中数学解题交流二群里发帖子,提出如下问题征求解答,很快得到三个老师的解答回复。题目及解答如下:
题目:已知非负实数a,b,c,满足a+b+c=1,则(c-a)(c-b)的取值范围是___
解法1:湖北省阳新县高级中学 邹生书 提供
因为a,b,c为非负实数,且满足a+b+c=1,所以a,b,c€[0,1]。
解法2:北京陈经纶中学 孙丕训 提供
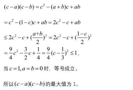
(c-a)(c-b)的最小值为1,同解法1,略。
因为a,b,c为非负实数,且满足a+b+c=1,所以a,b,c€[0,1]。
解法3:浙江省平阳中学 洪一平 提供
问题:已知a, b, c≥0, 且a+b+c=1, 求(c-a)(c-b)的取值范围。
这个问题在2019年9月24日在交流群中有人提出过, 下面是洪一平老师9月25日作的解答.
近期20篇热点文章链接:
12.2020年高考725分理科状元唐楚玥的学习方法演讲!快点转给孩子!
10.马力仲2020年高考数学试题分析讲座第四讲——整体把握结构稳定 着眼细节字母可变
9.万志红、张长新||2020年全国一卷文科导数题——如何找点?
6.张国川:游离在高考岸边的“数学美”——斜率问题的齐次化构造解法
5.万志红、张长新、黎良琛——2020年新课标Ⅰ卷 · 理20 · 一题多解
3.马力仲——2020年高考试题分析第一讲:知识背景成解题障碍,五音不全怎理解和弦
1.邹生书——2020年高考全国一卷第20题直线过定点问题的 简证与变式 拓展与背景
长按或扫描二维码关注本公众号!
投稿邮箱:zoushengshu@163.com;
商务联系:13297228197。