请点击上方蓝色字体“邹生书数学”,订阅本微信公众号;请点击右上角的“…”,发送给朋友或分享到朋友圈。
公众号“邹生书数学”创建于2018年8月28日。
开号宗旨:为热爱学习和研究的高中数学教师和教研员搭建学习交流平台,提升教学能力,促进专业发展。本公众号致力传播数学文化,发表教研成果,交流教学经验,探讨数学问题,展示解题方法,分享教学资源,为服务高中教学作贡献。
邹生书,男,1962年12月出生,本科学历,理学士学位,中学数学高级教师,黄石市高中数学骨干教师。主要从事高中数学教学、高中数学解题研究和探究性学习等。从2007年8月到2018年8月,在《数学通讯》《数学通报》《数学教学》《中学数学》《中学数学教学》等,二十多种学术期刊上发表解题和探究性学习文章300余篇。
公众号“邹生书数学”诚请高中数学教师、教研员和热爱数学的朋友不吝赐稿。来稿请注明真实姓名、工作单位和联系方式,一般只接受word文档格式的电子稿件,文稿请认真审查,防止错漏,确保无误,文责自负。
投稿邮箱:zoushengshu@163.com;
商务联系:13297228197。
特殊的二次递推数列通项公式
奇葩解法的探究之旅
湖北省阳新县高级中学 邹生书
俗话说:一行服一行,糯米服红糖。非常时期,用非常之举,行非常之力,成非常之功。兵来将挡,水不土掩。特殊的问题,用特殊的方法来解决。
本文从一个二次递推数列通项公式的两个奇葩解法入手,通过探究得到了一类特殊的二次递推数列通项公式及其特殊的求解方法。特殊的递推关系和奇葩的求解方法,给人展示了数学的奇异之美式和巧夺天工之美。最后再从一般到特殊,通过线性变换,可以从基本问题衍生出若干个相对复杂的问题,然而九九九归一,万万变不离其宗。
1.一个二次递推数列通项公式的两个奇葩解法
题目1:已知数列{an}满足:a1=2,an+1=2an2-1,求数列{an}的通项公式。
解法1:用双曲余弦函数的性质求解 湖南郴州 袁旭华 提供
易证双曲余弦函数coshx=(ex+e-x)/2有如下性质:
(1)cosh2x=2cosh2x;
(2) coshx在(0,+∞)内单调递增。
下面用双曲余弦函数的上述性质求这个数列的通项公式。
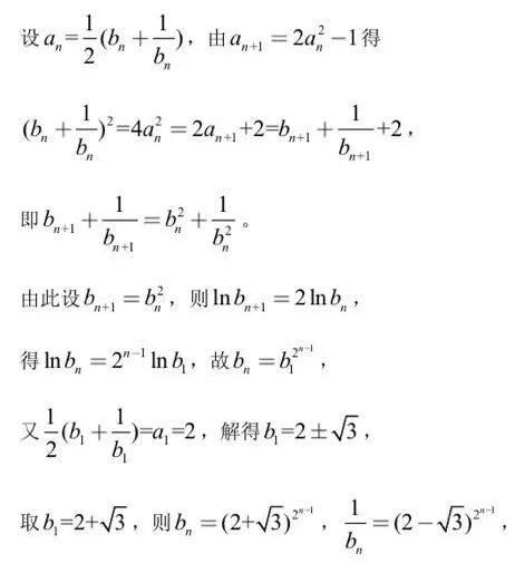
解法2:构造倒数和数列求解 浙江省平阳中学 洪一平 提供
解法反思:解法1通过式子的结构,联想到二倍角的余弦公式,又由余弦函数的有界性与已知条件所形成的矛盾冲突,调整为构造双曲余弦函数来解决问题。解法2,一开始设an=(bn+1/bn)/2显得非常突然和奇葩,简直是神来之笔。这里有两点我们需要弄懂和慢慢体会:一是倒数和bn+1/bn的设法,这可从解法中体会它的巧妙。另一难点是前面的系数二分一是怎么来的?能否解一题,得一法,到会一类?那么,这个题目所属的基本问题是什么?上述两个解法都非常奇特,哪个解法具有一般性?笔者通过研究发现递推式为bn+1=bn2-2的数列通项公式问题是最基本是特殊的问题,由它可以衍生出一系列问题。解决了这个基本问题,再通过化归转化的练习,就可以达到“做一题,得一法,会一类”的解题效果。
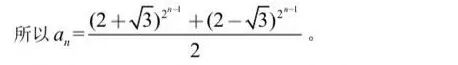
2.递推式为bn+1=bn2-2的数列通项公式
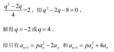
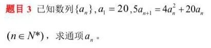
3.几个特殊二次递推数列an+1=pan2-qan的通项公式
下面的题目3和题目4是形如an+1=pan2-qan的二次递推数列的通项公式,有趣的是它们都可以转化为基本型bn+1=bn2-2来解决,问题及解法如下。
解:用基本型bn+1=bn2-2通项公式的推导方法求解
最后我们用上述所得之法再解文章开篇的题目1,看洪一平老师解法中的系数1/2到底是怎么来的,是不是要自然亲切了许多。
题目1:已知数列{an}满足:a1=2,an+1=2an2-1,求数列{an}的通项公式。
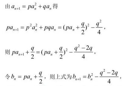
4.二次递推数列an+1=pan2+qan的通项公式可转化为基本型bn+1=bn2-2求解的充要条件
由此知,二次递推数列an+1=pan2-qan的通项公式可转化为基本型bn+1=bn2-2求解的充要条件是
两种特殊的二次递推式,配方后才能通过换元转化成基本型bn+1=bn2-2求解通项。
5.二次递推数列an+1=pan2+r的通项公式可转化为基本型bn+1=bn2-2求解的充要条件
由an+1=pan2+r得pan+1=p2an2+pr,令bn=pan,得bn+1=bn2+pr,所以二次递推数列an+1=pan2+r的通项公式可转化为基本型bn+1=bn2-2求解的充要条件:pr=-2即r=-2/p.
感言:一行服一行,糯米服红糖。非常时期,用非常之举,行非常之力,成非常之功。兵来将挡,水不土掩。特殊的问题,用特殊的方法来解决。我们从通过对一类特殊的二次递推数列通项公式的探究之旅,不仅达到了“做一题,得一法,会一类”的解题功效,而且知道了这类试题的编题技巧。既会做题,还能编题。探究解法,学会解题,学习编题。
长按或扫描二维码关注本公众号!
投稿邮箱:zoushengshu@163.com;
商务联系:13297228197。