请点击上方蓝色字体“邹生书数学”,订阅本微信公众号;请点击右上角的“…”,发送给朋友或分享到朋友圈。
公众号“邹生书数学”创建于2018年8月28日。
开号宗旨:为热爱学习和研究的高中数学教师和教研员搭建学习交流平台,提升教学能力,促进专业发展。本公众号致力传播数学文化,发表教研成果,交流教学经验,探讨数学问题,展示解题方法,分享教学资源,为服务高中教学作贡献。
邹生书,男,1962年12月出生,本科学历,理学士学位,中学数学高级教师,黄石市高中数学骨干教师。主要从事高中数学教学、高中数学解题研究和探究性学习等。从2007年8月到2018年8月,在《数学通讯》《数学通报》《数学教学》《中学数学》《中学数学教学》等,二十多种学术期刊上发表解题和探究性学习文章300余篇。
公众号“邹生书数学”诚请高中数学教师、教研员和热爱数学的朋友不吝赐稿。来稿请注明真实姓名、工作单位和联系方式,一般只接受word文档格式的电子稿件,文稿请认真审查,防止错漏,确保无误,文责自负。
投稿邮箱:zoushengshu@163.com;
商务联系:13297228197。
对《习以为常的“完美公式”真的完美吗》
一文的解惑
辽宁沈阳二中 刘 锐
在公众号邹生书数学2020年9月3日的推文《习以为常的“完美公式”真的完美吗》中谈到了如下“完美公式”:
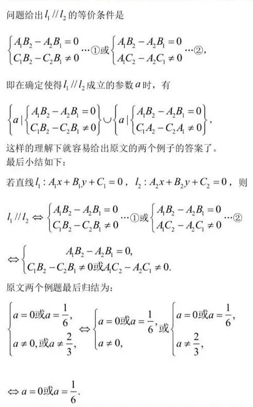
其实上述的“完美公式”并没有问题,是张老师在理解两直线平行的充要条件时出了问题,也就是在理解条件“①或②”时出了问题,准确地说,就是对这个“或”字理解发生了错误。“①或②”是一个整体,“①或②”成立,是两直线平行的充要条件。理解成①是两直线平行的充要条件,②也是两直线平行的充要条件,就是错误的。
“完美公式”虽然“完美”,但容易造成理解上的错误,在解题时没有多大好处。中看不中用,完美不好用。建议谨慎使用。
2020-9-03
刘锐老师近期发表文章链接:
16.刘 锐——2020年山东新高考数学试卷压轴题的几个解法
14.刘 锐——2020年理科数学Ⅰ卷压轴导数题目的两个解答
11.洪一平、刘锐——圆中同起点动弦向量数量积最小值难题的八种解法 你知道几种?
10.刘 锐:一道“指对幂”混合不等式恒成立求参数取值范围问题的解决
5.刘锐——六构函数解答一道“指对混合”方程参数取值范围难题
2.刘锐、洪一平——武汉市武昌区2020届高三四月理数试题第16题的两个解答
长按或扫描二维码关注本公众号!
投稿邮箱:zoushengshu@163.com;
商务联系:13297228197。