请点击上方蓝色字体“邹生书数学”,订阅本微信公众号;请点击右上角的“…”,发送给朋友或分享到朋友圈。
公众号“邹生书数学”创建于2018年8月28日。
开号宗旨:为热爱学习和研究的高中数学教师和教研员搭建学习交流平台,提升教学能力,促进专业发展。本公众号致力传播数学文化,发表教研成果,交流教学经验,探讨数学问题,展示解题方法,分享教学资源,为服务高中教学作贡献。
邹生书,男,1962年12月出生,本科学历,理学士学位,中学数学高级教师,黄石市高中数学骨干教师。主要从事高中数学教学、高中数学解题研究和探究性学习等。从2007年8月到2018年8月,在《数学通讯》《数学通报》《数学教学》《中学数学》《中学数学教学》等,二十多种学术期刊上发表解题和探究性学习文章300余篇。
公众号“邹生书数学”诚请高中数学教师、教研员和热爱数学的朋友不吝赐稿。来稿请注明真实姓名、工作单位和联系方式,一般只接受word文档格式的电子稿件,文稿请认真审查,防止错漏,确保无误,文责自负。
投稿邮箱:zoushengshu@163.com;
商务联系:13297228197。
巧解 妙解 暴力解 揭示本质可速解
——对一道抛物线涉及线段等积问题的解法探讨和背景溯源
浙江温州 陈佳文
湖北省阳新县高级中学 邹生书
【来源】高中数学解题交流二群 浙江金华 田卓凌 提供
解法1:用直线的斜截式方程硬解 浙江温州 陈佳文 提供
(2)由抛物线的切线方程公式,
得到l1的方程为y=x+1。
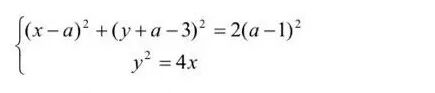
根据切割线定理的逆定理,PQ是△QAB外接圆的切线且切点为Q,则其外接圆圆心G在过点Q且垂直于l1的直线即y=-x+3上,设G点坐标为(a,3-a),联立圆G与抛物线C的方程,得
消去x得 (y-2)2[y2+4y+28-8a]=0 ①
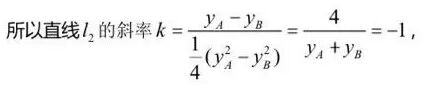
则yA ,yB是y2+4y+28-8a=0的两个实根,
∴yA +yB=-4,
因此可以设l2的方程为y=-x+t(t≠3),联立l1, l2的方程解得x0=(t-1)/2,将y=-x+t代入抛物线方程得,x2-(2t+4)x+t2=0,
由Δ>0可得t>-1, x0=(t-1)/2>-1,且x0≠-1,
因此x0的取值范围是(-1,1))∪(1,+ ∞)。
【注解】这里①处的因式分解是这样得到的:
联立后消去x得到方程
y4+(16-8a)y2+(32a-96)y+112-32a=0 ②
因为点Q是抛物线与圆的公共点,所以其纵坐标y=2必为方程②的根,于是可设方程②左边为(y-2)(y3+my2+ny+16a-56),
解得:m=2,n=20-8a。
所以左边为
(y-2)(y3+2y2+(20-8a)y+16a-56),
又注意到
y=2为y3+2y2+(20-8a)y+16a-56=0的实根,
同理有
y3+2y2+(20-8a)y+16a-56=(y-2)(y2+4y+28-8a)=0。
解法2:本解法以上述陈老师的解法为基础,在某些细节的处理上有所不同。解法如下:
由PQ2=PA•PB,根据切割线定理的逆定理,知PQ是△QAB外接圆的切线且切点为Q,则其外接圆圆心G在过点Q垂直于l1的直线y=-x+3上,由此设G点坐标为(a,3-a),联立圆G与抛物线C的方程,得
【评注】点Q是抛物线与椭圆的切点,所以y=2是方程的二重根,如果是交点,则是一重根,明确这一点对方程左边变形因式分解有很好的导向作用。
解法3: 巧用直线的参数方程求解
【解后反思】从上述诸多解法知切线l1的斜率与直线l2的斜率恰好互为相反数,这一点很有意思,是偶然还是必然?结合解法1中的辅助圆,编者联想到圆锥曲线上四点共圆有如下充要条件:已知斜率均存在的两条直线,与对称轴平行于坐标轴的圆锥曲线相交于四点,那么这四点共圆的充要条件是这两条直线的斜率互为相反数。当其中一条直线变成切线时,两交点重合变成切点,结论仍然成立。
若用这个二级结论则有更加简洁的方法,由PQ2=PA•PB,根据切割线定理的逆定理知,PQ是△QAB外接圆的切线且切点为Q,由上述结论知直线AB与直线PQ的斜率互为相反数,所以直线PQ的斜率为-1,下面的问题就容易了。
由此可见,本题的命题背景就是与圆锥曲线四点共圆的斜率性质相关的问题。背景溯源,揭示本质,利用二级结论,便可快速解决问题。高观点,低运算。登高永远,一览众山小。
公众号《邹生书数学》
近期最受读者欢迎的36篇解题文章链接
(20200619——20200831)
33.邹生书——二次函数方程a[f(x)]^2+bf(x)+c=0实根问题的求解通法
32.邹生书——椭圆定义与解三角形联手再解天津高考解析几何题
20.马力仲2020年高考数学试题分析讲座第四讲——整体把握结构稳定 着眼细节字母可变
19.万志红、张长新||2020年全国一卷文科导数题——如何找点?
18.刘 锐——2020年山东新高考数学试卷压轴题的几个解法
16.张国川:游离在高考岸边的“数学美”——斜率问题的齐次化构造解法
15.万志红、张长新、黎良琛——2020年新课标Ⅰ卷 · 理20 · 一题多解
13.马力仲——2020年高考试题分析第一讲:知识背景成解题障碍,五音不全怎理解和弦
12.连毅端——2020年全国1卷理科数学第11题的两个解法
11.邹生书——2020年高考全国一卷第20题直线过定点问题的 简证与变式 拓展与背景
10.洪一平、刘锐——圆中同起点动弦向量数量积最小值难题的八种解法 你知道几种?
5.“对数单身狗,指数找朋友”到底讲的是什么?——这或许是你见过最全面的解析!!!
4.张伟、邹生书——不等式恒成立求双参数式子最值的方法与命题背景
3.刘 锐:一道“指对幂”混合不等式恒成立求参数取值范围问题的解决
长按或扫描二维码关注本公众号!
投稿邮箱:zoushengshu@163.com;
商务联系:13297228197。